6

When it comes to epsilon-delta proofs, almost all texts (if not all) appear to make a perfect choice of epsilon to begin with, such that when they work everything out we finally get say $$|f(x)-f(x_0)|<\epsilon$$ which is of course very neat.

However, I cannot fathom that everybody knows exactly what epsilon to choose, especially when dealing with a problem they are initially a little uncertain about. If you can see the proof from beginning to end at a glance, then sure I can understand how you could make the clever choice to begin with.

But realistically, for those more experienced here, do you always know to pick the right epsilon to begin with? Or do you muck around first, then modify the values so then it works out perfectly as in my above example?

Specifically I was working on the following problem:

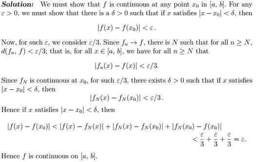
Consider the metric space $C[a,b]$ with distance being defined as the supremum norm over the interval. Let $(f_n)$ be a sequence in our metric space that converges uniformly to a function $f$ on $[a,b]$. Prove that $f$ is continuous on $[a,b]$.

The solution, which motivated my question here, is below.

enter image description here

Trogdor
  • 10,331
  • 6
    You don't choose the right one at the start, you adjust as you go along. – almagest Jun 21 '16 at 14:35
  • Your last paragraph is the answer. You muck around first. When you are more experienced you can see further ahead in the proof so can do some of the mucking around in advance - e.g. $\epsilon / 3$ in your comment on @Thomas ' answer. – Ethan Bolker Jun 21 '16 at 14:42
  • If you were to assume that choosing a $\varepsilon$ at the outset would end with your inequality at the end equal to $3 \varepsilon$ and when writing up the anwser formally you chose $\varepsilon /3$ such that... –  Jun 21 '16 at 15:25

4 Answers4

4

You don't choose the epsilon.

The epsilon is given. Given an epsilon, you have to choose/find a corresponding delta. The point is that given any $\epsilon > 0$ you have make $\lvert f(x) - f(x_0)\rvert$ smaller than this randomly given $\epsilon$, by choosing/(demonstrating the existence of) a $\delta > 0$ so that when $\lvert x - x_0\rvert$ is smaller than $\delta$, then $\lvert f(x) - f(x_0)\rvert$ is smaller than $\epsilon$.

Let me do a simple example. I wouldn't actually do it like this in this specific case, but just to illustrate the point of rechoosing $\delta$. Say you wanted to prove that

$$ \lim_{x\to 2} 3x - 4 = 2 $$ Then just start with $$ \lvert x - 2\rvert < \epsilon $$ (So you are basically choosing $\delta = \epsilon$.) This implies that $$ \lvert (3x - 4) - 2\rvert < 3\epsilon $$ This "shows" that you should choose your delta $\delta = \epsilon / 3$ and so you rechoose ...

Thomas
  • 43,555
  • The problem I was given gave uniform convergence, and from there we were required to prove continuity. So it was required to consider an expression like $\epsilon /3$ to begin with. – Trogdor Jun 21 '16 at 14:37
  • @Trogdor: If you can show us the problem you are working on and some of the work you have done, then it might be easier to help. The task is, however, always to find the corresponding $\delta$ that works for this given $\epsilon$. Now, there are different techniques that can help you do this and some of them involve choosing a delta, and then rechoosing the delta after having done some work. – Thomas Jun 21 '16 at 14:40
  • I was not the one to downvote, but here is the question as you asked.

    Consider the metric space $\mathcal{C}[a,b]$ with distance being defined as the supremum norm over the interval. Let $(f_n)$ be a sequence in our metric space that converges uniformly to a function $f$ on $[a,b]$. Prove that $f$ is continuous on $[a,b]$.

    – Trogdor Jun 21 '16 at 14:43
  • To see what OP means think of the proof that the sum of two continuous functions is continuous. – quid Jun 21 '16 at 14:51
4

As mentioned by Thomas, you don't choose the epsilon; usually, you choose the delta (or the $n$, if you are dealing with sequences).

You basically do it in two steps. You first do the proof, dealing with the inequalities. And say you start with a plain $\delta$, with $|x-x_0|<\delta$ and get $$|f(x)-f(x_0)|<(5K+7)\delta$$ Now you repeat the proof, but you know that you want $(5K+7)\delta<\epsilon$, so you choose $\delta<\epsilon/(5K+7)$.

Martin Argerami
  • 205,756
  • Think of the proof that the sum of two continuous functions is continuous. I feel it does not really fall under this description. – quid Jun 21 '16 at 14:50
  • I agree and gave an explanation in another answer; but referring to a simpler example with the same mechanism is a good idea. – StackTD Jun 21 '16 at 15:13
4

I think there's a bit of confusion as most of the answers/comments are illustrating the fact that for a typical $\varepsilon$-$\delta$-argument, you let $\varepsilon > 0$ arbitrary and then show that you can always find a suitable delta that keeps some expression below this $\varepsilon$. That is correct but it's not exactly what is happening in your proof. That is, it is more complicated in the sense that there are 'different epsilons' involved.

Your proof is a typical example of where you use certain properties (such as continuity of $f_n$ and the uniform convergence $f_n \to f$) to prove another property (the continuity of the limit function $f$). Now, these earlier, known properties also have $\varepsilon$-$\delta$-definitions and since you assume these properties hold, you know that for any $\varepsilon > 0$, there is a suitable delta that keeps some expression (related to the assumed property) below this $\varepsilon$.

Since these properties hold for any $\varepsilon > 0$, they also hold for $\varepsilon/2$, $\varepsilon/3$ etc. The reason why this comes in handy, is that the definition of the property you're trying to show, also ends in showing that some (other) expression remains below (any) $\varepsilon > 0$. If you use the same $\varepsilon$ for the other, assumed properties and you then use the triangle inequality at the end - like in your proof - you would end up with something like: $$\color{red}{|f(x)-f(x)| <} |f(x)-f_N(x)|+|f_N(x)-f_N(x_0)|+|f_N(x_0)-f(x_0)| < \varepsilon+\varepsilon+\varepsilon=\color{red}{3\varepsilon}$$ Now if you started the proof with "choose an arbitrary $\varepsilon > 0$", you now end up with the 'ugly' $3\varepsilon$ where you want only $\varepsilon$.

You could fix this by choosing an arbitrary $\color{blue}{\varepsilon'} > 0$ at the start and now defining $\color{blue}{\varepsilon'} = 3\varepsilon$ and the final expression also nicely fits the formal definition. Some consider this less elegant and start with $\varepsilon$ but then choose the epsilons you apply to the other, assumed properties as $\varepsilon/3$. You only know the "/3" will do the trick because you use the triangle inequality to split it up in three pieces.


Example

Elaborating on @quid's comment, it might be insightful to see the same mechanism applied to a simpler example.

Let $a_n \to a$ and $b_n \to b$, which means that for all $\varepsilon >0$, there exist numbers $N_1$ and $N_2$ such that: $$n > N_1 \implies |a_n-a| < \varepsilon \quad\mbox{and}\quad n > N_2 \implies |b_n-b| < \varepsilon \quad \quad \color{blue}{(*)}$$ Now choose an arbitrary $\varepsilon' >0$ and let $n > \max\left\{ N_1,N_2\right\}$, then: $$|(a_n+b_n)-(a+b)| \le |a_n-a|+|b_n-b| < \varepsilon+\varepsilon = 2\varepsilon = \varepsilon'$$ This works if you choose $\varepsilon = \varepsilon'/2$ in the definitions $\color{blue}{(*)}$.

Alternatively, you could just choose $\varepsilon >0$ and take $\varepsilon/2$ when you use the definitions of convergence of $a_n$ and $b_n$; you then neatly end up with $\ldots < \tfrac{\varepsilon}{2}+\tfrac{\varepsilon}{2} = \varepsilon$.

StackTD
  • 27,903
  • 34
  • 63
2

But realistically, for those more experienced here, do you always know to pick the right epsilon to begin with?

No, except for simple things.

Or do you muck around first, then modify the values so then it works out perfectly as in my above example?

Yes, except I often skip the last part. It's just as good when the proof ends with, say, $< 3 \epsilon$ and feels less artificial.

quid
  • 42,135