In a previous answer, the following solution was given for calculating the variance from a stream of sample values (from Knuth via John D. Cook):
$$ \begin{align*} m_k&=m_{k-1}+\frac{x_k-m_{k-1}}k \\ v_k&=v_{k-1}+(x_k-m_{k-1})(x_k-m_k) \end{align*} $$
with variance $$\sigma^2=\frac{v_k}{k-1}$$
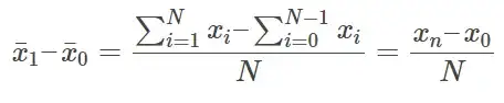
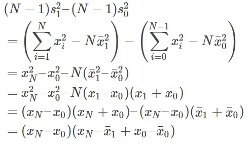
If we kept track of $m_k$, $v_k$, and $\sigma^2$ for each sample, then could we easily compute the variance for a given window of samples between $i$ and $i+j$ with a simple manipulation of those saved values?

