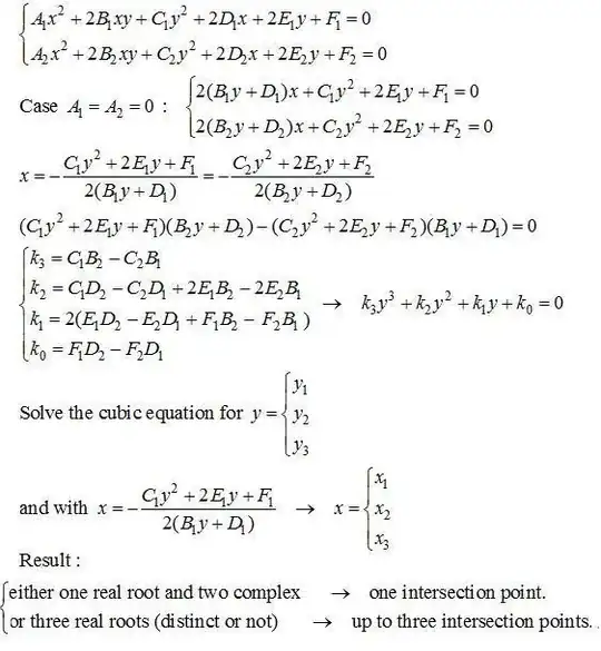
I have two hyperbolas, given in the form:
$$\tag{1}A_1x^2+2B_1xy+C_1y^2+2D_1x+2E_1y+F_1=0$$ $$\tag{2}A_2x^2+2B_2xy+C_2y^2+2D_2x+2E_2y+F_2=0$$
With $A_1=A_2=0$. I wish to attain all intersection points. I saw this example, but my representation is different. In addition, somehow this transformation does not seem to work for me.
Thanks!


