The formula for $\beta={}_2F_1\Big(\tfrac{1}{3},\tfrac{1}{3};\tfrac{5}{6};-\alpha\Big)$ in terms of elliptic integrals is
$$\large\begin{align}
&{}_2F_1\Big(\tfrac{1}{3},\tfrac{1}{3};\tfrac{5}{6};\tfrac{1}{2}+i\tfrac{(2+2p-p^2) (1-2 p -2p^2) (1+4p+p^2)}{6 \sqrt{3} ~p(p+2) (2 p+1)(1-p^2)}\Big)\\&=\tfrac{\sqrt[3]{p(2+p)(1-p^2)}}{K(k_3)3^{1/4} (2 p+1)^{1/6}}\Big(e^{-\frac{\pi i}{6}}K\Big(\sqrt{\tfrac{p^3 (2+p)}{1+2 p}}\Big)+\tfrac{e^{\frac{\pi i}{6}}}{\sqrt{3}}K\Big(\sqrt{1-\tfrac{p^3 (2+p)}{1+2 p}}\Big)\Big)
\end{align}\tag1$$
valid for $0<p<1$ (the proof is given at the end of this post). It can be continued analytically in the vicinity of this range. One can easily see from this formula how $\alpha$ and $\beta$ are parametrized in terms of $p$. However more work needs to be done to show that they are both algebraic when suitable parameter $\tau$ takes values $\tau=\frac{1+n\sqrt{-3}}{2}$, $~n\in\mathbb{N}$. To do this one needs parametrization in terms of eta quotients. Such parametrization is given in chapter 33, of Ramanujan's Notebooks, Part V (referred in the following as V).
Define (according to Lemma 5.5 in V)
$$p(v)=-2\,\frac{\eta\big(\tfrac{v}2\big)\,\eta^3\big(6v\big)}{\eta\big(2v\big)\,\eta^3\big(\tfrac{3v}2\big)}\tag2$$
with $\large v=\frac{\tau}{\tau+1}.$ Then
$$
\alpha(\tau)=-\tfrac{1}{2}-i\tfrac{(2+2p-p^2) (1-2 p -2p^2) (1+4p+p^2)}{6 \sqrt{3} ~p(p+2) (2 p+1)(1-p^2)}
$$
$$
\beta(\tau)=\tfrac{\sqrt[3]{p(2+p)(1-p^2)}}{K(k_3)3^{1/4} (2 p+1)^{1/6}}\Big(e^{-\frac{\pi i}{6}}K\Big(\sqrt{\tfrac{p^3 (2+p)}{1+2 p}}\Big)+\tfrac{e^{\frac{\pi i}{6}}}{\sqrt{3}}K\Big(\sqrt{1-\tfrac{p^3 (2+p)}{1+2 p}}\Big)\Big)
$$
Example: If $\tau=\frac{1+7\sqrt{-3}}2$, then $v=\frac{7i}{26 \sqrt{3}}+\frac{25}{26}$, and $\alpha=27$, $~\beta=4/7$.
Proof of such a connection between $\tau$ and $v$ is equivalent to verification of an eta function identity, as shown in the sequel (a simpler example of analogous verification can be found in this answer).
First, using the trivial identity $\eta \left(\frac{v+1}{2}\right)=\frac{\zeta_{48} \eta (v)^3}{\eta \left(\frac{v}{2}\right) \eta (2 v)}$ and modular relations for eta functions one obtains
$$
p(v)=\frac{\eta^3 (4x) \eta^3 (6x) \eta^6 (x)}{\eta (12x) \eta^2 \left(3x\right) \eta^9 (2x)},\quad x=(\tau+1)/6
$$
$$
\lambda=\frac{\eta\big(\tfrac{\tau+1}{3}\big)}{\eta(\tau)}=\zeta_{24}\frac{\eta\big(\tfrac{\tau+1}{3}\big)}{\eta(\tau+1)}=\zeta_{24}\frac{\eta\big(2x\big)}{\eta(6x)},\quad x=(\tau+1)/6.
$$
Then
$$
\alpha(\tau)=-\tfrac{1}{2}-i\tfrac{(2+2p-p^2) (1-2 p -2p^2) (1+4p+p^2)}{6 \sqrt{3} ~p(p+2) (2 p+1)(1-p^2)}=\tfrac1{4\sqrt{27}}\big(\lambda^3-\sqrt{27}\,\lambda^{-3}\big)^2
$$
becomes an eta function identity, which can be verified algorithmically.
It is known that if $z_1,z_2\in\mathfrak{H}$belong to an imaginary quadratic field then $\eta(z_1)/\eta(z_2)$ is algebraic. Since $\tau$ and also $v$ belong to $\mathbb{Q}[\sqrt{-3}]$ one obtains that $p(v)$ is algebraic. This proves that if $\tau=\frac{1+\sqrt{-3}}2$,$~n\in\mathbb{N}$ then $\alpha$ is algebraic. To show that $\beta$ is algebraic one needs to consider only the ratios
$$
\frac{K\Big(\sqrt{\tfrac{p^3 (2+p)}{1+2 p}}\Big)}{K(k_3)},~~\frac{K\Big(\sqrt{1-\tfrac{p^3 (2+p)}{1+2 p}}\Big)}{K(k_3)}\tag3
$$
but since the elliptic integrals $K\Big(\sqrt{\tfrac{p^3 (2+p)}{1+2 p}}\Big)$, $K\Big(\sqrt{1-\tfrac{p^3 (2+p)}{1+2 p}}\Big)$ have complementary moduli algebraicity of one of the ratios would automatically imply algebraicity of the other ratio. More specifically there is the formula (provided by OP)
$$
\frac{_2F_1\Big(\tfrac{1}{2},\tfrac{1}{2};1;1-\tfrac{p^3 (2+p)}{1+2 p}\Big)}{_2F_1\Big(\tfrac{1}{2},\tfrac{1}{2};1;\tfrac{p^3 (2+p)}{1+2 p}\Big)}=3(1-v)\sqrt{-1}=\frac{3\sqrt{-1}}{1+\tau}.\tag{4}
$$
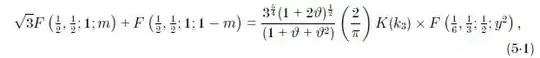
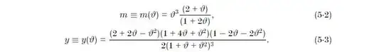
To prove it note that (5.1-5.14 in V)
$$
p(v)+2=2\frac{\eta^2 (3 v) \eta \left({v}/{2}\right) \eta^3 (2 v)}{\eta^2 (v) \eta^3 \left({3 v}/{2}\right) \eta (6 v)}
$$
$$
2p(v)+1=\frac{\eta^2 (3 v) \eta^4 \left({v}/{2}\right) }{\eta^2 (v) \eta^4 \left({3 v}/{2}\right) }.
$$
These formulas give
$$
\frac{p^3 (2+p)}{1+2 p}=-\frac{16 \eta (6 v)^8}{\eta \left(\frac{3 v}{2}\right)^8}.
$$
Further simplification by means of $\eta \left(\frac{v+1}{2}\right)=\frac{\zeta_{48} \eta (v)^3}{\eta \left(\frac{v}{2}\right) \eta (2 v)}$ and modular relation for eta function allows one to write
$$
\frac{p^3 (2+p)}{1+2 p}=\left(\frac{\eta ((\tau+1)/6)^2 \eta (2(\tau+1)/3)}{\eta ((\tau+1)/3)^3}\right)^8.\tag{5}
$$
From the theory of Jacobi elliptic functions it is known that
$$
\omega=i\frac{K'}{K},~K=K(k),~K'=K(k'),~k'=\sqrt{1-k^2},~k'=\large \Big(\tfrac{\eta (2 \omega) \eta^2 (\omega/2)}{\eta^3 (\omega)}\Big)^4.
$$
Comparing with (5) one gets
$$
\frac{\tau+1}{3}=i\frac{K\Big(\sqrt{\tfrac{p^3 (2+p)}{1+2 p}}\Big)}{K\Big(\sqrt{1-\tfrac{p^3 (2+p)}{1+2 p}}\Big)}
$$
equivalent to (4).
It is seen that $\frac{\tau+1}{3}$ is obtained from $\tau_0=n\sqrt{-3}$ by a shift $\tau_0\to\tau_0+1$, duplication, then another analogous shift and triplication. This means that the ratios (3) are algebraic.
Proof of equation (1).
First step is to rewrite $\beta$ in terms of hypergeometric functions with the third parameter $1/2$ and $3/2$ according to eq. 2.11(3) from Erdelyi et. al. vol I
$${}_2F_1\Big(\tfrac{1}{3},\tfrac{1}{3};\tfrac{5}{6};\tfrac12+\tfrac{z}{2}\Big)=\tfrac{\sqrt{\pi } ~\Gamma \left(\frac{5}{6}\right)}{\Gamma \left(\frac{2}{3}\right)^2}{}_2F_1\Big(\tfrac{1}{6},\tfrac{1}{6};\tfrac{1}{2};z^2\Big)-z\tfrac{2\sqrt{\pi } ~\Gamma \left(\frac{5}{6}\right)}{\Gamma \left(\frac{1}{6}\right)^2}{}_2F_1\Big(\tfrac{2}{3},\tfrac{2}{3};\tfrac{3}{2};z^2\Big).\tag7$$
Then the first hypergeometric on the lhs is converted to ${}_2F_1\Big(\tfrac{1}{6},\tfrac{1}{3};\tfrac{1}{2};\frac{z^2}{z^2-1}\Big)$ via Pfaff's transformation for which Zucker and Joyce in their third paper show that
where
The second hypergeometric function on the lhs of (7) is converted to ${}_2F_1\Big(\tfrac{2}{3},\tfrac{5}{6};\tfrac{3}{2};\frac{z^2}{z^2-1}\Big)$ by Pfaff's transformation, and subsequently to a sum of hypergeometric functions with the third parameter equal to $1$ with the help of eq. 2.11(9) from Erdelyi et. al. vol I
$$
\sqrt{\tfrac{z^2}{z^2-1}}{}_2F_1\Big(\tfrac{2}{3},\tfrac{5}{6};\tfrac{3}{2};\tfrac{z^2}{z^2-1}\Big)={\tfrac{\Gamma \left(\frac{1}{6}\right) \Gamma \left(\frac{1}{3}\right)}{4z \sqrt{\pi }\Gamma \left(\tfrac{5}{6}\right)} \left(\, _2F_1\left(\tfrac{1}{3},\tfrac{2}{3};1;\tfrac{1}{2}-\tfrac{1}{2}\sqrt{\tfrac{z^2}{z^2-1}}\right)-\, _2F_1\left(\tfrac{1}{3},\tfrac{2}{3};1;\tfrac{1}{2}+\tfrac{1}{2}\sqrt{\tfrac{z^2}{z^2-1}}\right)\right)}.
$$
Equation 5.17 in V enables one to write${}_2F_1\left(\tfrac{1}{3},\tfrac{2}{3};1;...\right)$ in terms of elliptic integrals. The required parametrization is
$$
z=-i\frac{((2-p) p+2) (1-2 p (p+1)) (p (p+4)+1)}{3 \sqrt{3} p \left(2 p^4+5 p^3-5 p-2\right)}.
$$
Combining all these formulas one eventually arrives at
$$
\large\begin{align}
\tfrac{2K(k_3)3^{1/4} (2 p+1)^{1/6}}{\pi \sqrt[3]{p(2+p)(1-p^2)}}{}_2F_1\Big(\tfrac{1}{3},\tfrac{1}{3};\tfrac{5}{6};\tfrac{1}{2}+i\tfrac{(2+2p-p^2) (1-2 p -2p^2) (1+4p+p^2)}{6 \sqrt{3} ~p(p+2) (2 p+1)(1-p^2)}\Big)\\=e^{-\frac{\pi i}{6}}{}_2F_1\Big(\tfrac{1}{2},\tfrac{1}{2};1;\tfrac{p^3 (2+p)}{1+2 p}\Big)+\tfrac{e^{\frac{\pi i}{6}}}{\sqrt{3}}{}_2F_1\Big(\tfrac{1}{2},\tfrac{1}{2};1;1-\tfrac{p^3 (2+p)}{1+2 p}\Big)
\end{align}$$