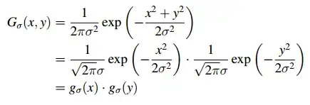
I am trying to figure out how to derive the 2D Gaussian as product of 1D Gaussian.
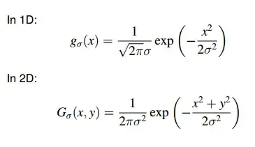
I need to learn how the 2pi get the square root in the denomination in the 2D Gaussian.
I am trying to figure out how to derive the 2D Gaussian as product of 1D Gaussian.
I need to learn how the 2pi get the square root in the denomination in the 2D Gaussian.
It's simply because
$$ \frac{1}{\sqrt{2 \pi} \sigma} \cdot \frac{1}{\sqrt{2 \pi} \sigma} = \frac{1}{(\sqrt{2 \pi})^2 \sigma^2} = \frac{1}{2 \pi \sigma^2} $$
More generally, observe that the $d-$dimensional (isotropic) gaussian is given by
$$ g_{\sigma}(\mathbf{x}) = \frac{1}{(\sqrt{2 \pi} \sigma)^d} e^{-||\mathbf{x}||^2 / 2 \sigma^2} $$ where $||x||^2 = x_1^2 + x_2^2 + \dots + x_d^2$ is the $\ell_2$ norm. This can be written as the product of $d$ 1-dimensional gaussians, since
$$ \frac{e^{-||\mathbf{x}||^2 / 2 \sigma^2}}{(\sqrt{2 \pi} \sigma)^d} = \frac{e^{-(x_1^2 + x_2^2 + \dots + x_d^2) / 2 \sigma^2}}{(\sqrt{2 \pi} \sigma)^d} = \prod_{i=1}^d \frac{e^{-(x_i^2) / 2 \sigma^2}}{\sqrt{2 \pi} \sigma} = g_{\sigma}(x_1) \cdot g_{\sigma}(x_2) \cdot \dots g_{\sigma}(x_d) $$