The topic of low rank approximation is sprinkled throughout Math SE:
Low-rank Approximation with SVD on a Kernel Matrix
Matrix values increasing after SVD, singular value decomposition
The singular value spectrum may span several orders of magnitude. It seems natural that the contributions from the larger values are more important. Numerically, it is difficult to tell whether small singular values are valid or simply machine noise in computing a $0$ singular value. This requires a threshhold to determine which singular values are discarded.
Let's look at the SVD in detail.
Singular Value Decomposition
Every matrix
$$
\mathbf{A} \in \mathbb{C}^{m\times n}_{\rho}
$$
has a singular value decomposition of the form
$$
\begin{align}
\mathbf{A} &=
\mathbf{U} \, \Sigma \, \mathbf{V}^{*} \\
%
&=
% U
\left[ \begin{array}{cc}
\color{blue}{\mathbf{U}_{\mathcal{R}}} & \color{red}{\mathbf{U}_{\mathcal{N}}}
\end{array} \right]
% Sigma
\left[ \begin{array}{cccc|cc}
\sigma_{1} & 0 & \dots & & & \dots & 0 \\
0 & \sigma_{2} \\
\vdots && \ddots \\
& & & \sigma_{\rho} \\\hline
& & & & 0 & \\
\vdots &&&&&\ddots \\
0 & & & & & & 0 \\
\end{array} \right]
% V
\left[ \begin{array}{c}
\color{blue}{\mathbf{V}_{\mathcal{R}}}^{*} \\
\color{red}{\mathbf{V}_{\mathcal{N}}}^{*}
\end{array} \right] \\
%
& =
% U
\left[ \begin{array}{cccccccc}
\color{blue}{u_{1}} & \dots & \color{blue}{u_{\rho}} & \color{red}{u_{\rho+1}} & \dots & \color{red}{u_{n}}
\end{array} \right]
% Sigma
\left[ \begin{array}{cc}
\mathbf{S}_{\rho\times \rho} & \mathbf{0} \\
\mathbf{0} & \mathbf{0}
\end{array} \right]
% V
\left[ \begin{array}{c}
\color{blue}{v_{1}^{*}} \\
\vdots \\
\color{blue}{v_{\rho}^{*}} \\
\color{red}{v_{\rho+1}^{*}} \\
\vdots \\
\color{red}{v_{n}^{*}}
\end{array} \right]
%
\end{align}
$$
The connection to the row and column spaces follows:
$$
\begin{align}
% R A
\color{blue}{\mathcal{R} \left( \mathbf{A} \right)} &=
\text{span} \left\{
\color{blue}{u_{1}}, \dots , \color{blue}{u_{\rho}}
\right\} \\
% R A*
\color{blue}{\mathcal{R} \left( \mathbf{A}^{*} \right)} &=
\text{span} \left\{
\color{blue}{v_{1}}, \dots , \color{blue}{v_{\rho}}
\right\} \\
% N A*
\color{red}{\mathcal{N} \left( \mathbf{A}^{*} \right)} &=
\text{span} \left\{
\color{red}{u_{\rho+1}}, \dots , \color{red}{u_{m}}
\right\} \\
% N A
\color{red}{\mathcal{N} \left( \mathbf{A} \right)} &=
\text{span} \left\{
\color{red}{v_{\rho+1}}, \dots , \color{red}{v_{n}}
\right\} \\
%
\end{align}
$$
You are using is $\mathbf{S} \, \color{blue}{\mathbf{V}_{\mathcal{R}}}^{*}$. This ignores the null space contributions in red.
A rank $\rho = 3$ approximation would look like this;
$$
\mathbf{S}_{3} \, \color{blue}{\mathbf{V}_{\mathcal{R}}}^{*} =
\left[ \begin{array}{cccc|cc}
\sigma_{1} & 0 & 0 \\
0 & \sigma_{2} & 0 \\
0 & 0 & \sigma_{3} \\
\end{array} \right]
%
% V
\left[ \begin{array}{c}
\color{blue}{v_{1}^{*}} \\
\color{blue}{v_{2}^{*}} \\
\color{blue}{v_{3}^{*}} \\
\end{array} \right]
%
\in \mathbb{C}^{\rho \times n}
$$
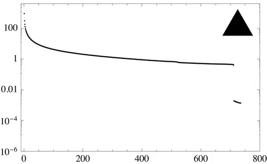
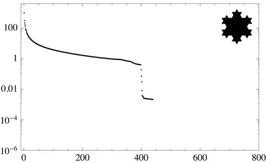
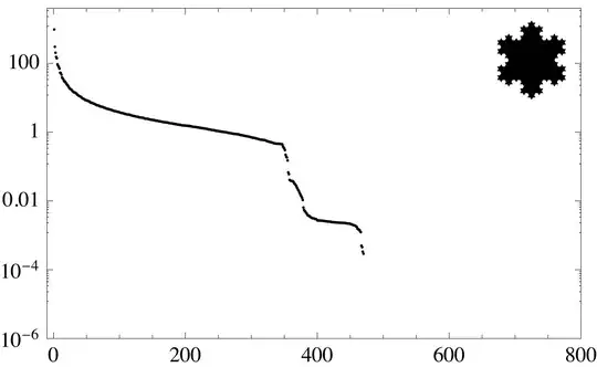
The following sequence shows the Koch snowflake fractals and their singular value spectra. As the object becomes more detailed, the spectrum becomes richer.



