I got stuck. Can someone please tell me how equation 46 was gotten from equation 45?
Asked
Active
Viewed 2,092 times
1 Answers
2
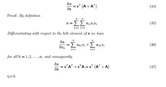
$\alpha=\sum_{j=1}^{n}\sum_{i=1}^{n}a_{ij}x_ix_j$
For $j=k$, the part of summation, for which the derivative is not zero, is
$$\sum_{i=1}^{n}a_{ik}x_ix_k$$
The derivative is
$$\sum_{i=1,i\neq k}^{n}a_{ik}x_i+2a_{kk}x_k$$
For $j\neq k$ and $i=k$, the part of summation, for which the derivative is not zero, is
$$\sum_{j=1, j \neq k}^{n}a_{kj}x_kx_j$$
The derivative is
$$\sum_{j=1, j \neq k}^{n}a_{kj}x_j$$
In total, you have
$$\frac{\delta \alpha}{\delta x_k}=\sum_{i=1,i\neq k}^{n}a_{ik}x_i+2a_{kk}x_k+\sum_{j=1, j \neq k}^{n}a_{kj}x_j$$
$$\frac{\delta \alpha}{\delta x_k}=(\sum_{i=1,i\neq k}^{n}a_{ik}x_i+a_{kk}x_k)+(\sum_{j=1, j \neq k}^{n}a_{kj}x_j+a_{kk}x_k)$$
$$\frac{\delta \alpha}{\delta x_k}=(\sum_{i=1}^{n}a_{ik}x_i)+(\sum_{j=1}^{n}a_{kj}x_j)$$
Med
- 2,530
-
How did you get the second expression, the one with two terms? where did 2 come from? – mc8 Mar 02 '17 at 22:15
-
In $\sum_{i=1}^{n}a_{ik}x_ix_k$, $x_k$ is fixed and $x_i$ is varying. When $x_i \neq x_k$, then we have a linear term, with $x_k$ being the variable to take the derivative with respect to. When $x_i = x_k$, then we have $x_k^2$, which has the derivative $2x_k$ – Med Mar 03 '17 at 00:03
-
The best way to see how it works, is to expand the sums. – Med Mar 03 '17 at 00:04
