Please help me with this sum:
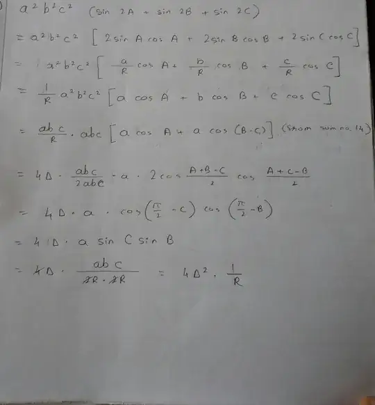
In any triangle ABC, prove that $$a^2 b^2 c^2 \left (\sin {2A} +\sin {2B} + \sin {2C} \right) = 32 \Delta ^3$$
Here $\Delta $ means the area of the triangle.
My attempts:

Please help me with this sum:
In any triangle ABC, prove that $$a^2 b^2 c^2 \left (\sin {2A} +\sin {2B} + \sin {2C} \right) = 32 \Delta ^3$$
Here $\Delta $ means the area of the triangle.
My attempts:

Check that
So, $$LHS = 4(bc\sin A)(ca\sin B)(ab\sin C) = 32 \Delta^3.$$
(https://proofwiki.org/wiki/Area_of_Triangle_in_Terms_of_Circumradius or https://artofproblemsolving.com/community/c4h345932s1_prove_that_abc4r__abc) – lab bhattacharjee May 12 '17 at 06:37