0

Note: This is not a duplicate as I am asking for a proof, not a criteria, and this is a specific proof, not just any proof – please treat like any other question on a specific math problem. Please do not close. thanks!

enter image description here

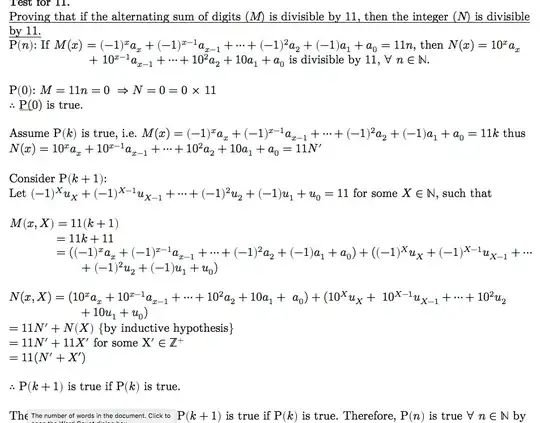
I am having trouble proving the above as I don't know how to express the various cases/outcomes of N when 11 is added to M. Take for example N=9759, then M=9-7+5-9=0

However, M+11 could give many different numbers, depending on where and what integers are added.

So for M to become 0+11=11 in the above example,

(i) N=9757946 is one possibility

(ii) N=9469757 is another possibility

Although they are essentially the same, mathematically they are different (I think?) because:

(i) M=9-7+5-7+9-4+6

(ii) M=9-4+6 -9+7-5+7

so the (-1)^n coefficient changes for the digits 9, 7, 5, 7


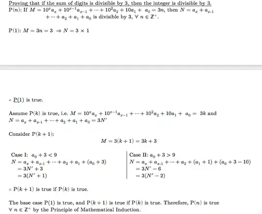
These proofs for divisibility by 3 may help:

enter image description here

enter image description here

3 Answers3

0

I'm a bit sceptical(*) to those proofs for the criterion for divisibily by $3$ so I wouldn't use them as a template for such a proof.

The trick is to compute the sum in modulo $11$ algebra. What we basically use is that $10^{2k}-1$ and $10^{2k+1}+1$ are divisible by $11$ or $10^k-(-1)^k$ are. We use this to compute the sum:

$$a = \sum a_k10^k = \sum a_k (10^k-(-1)^k+(-1)^k) = \sum (10^k-(-1)^k)a_k + \sum (-1)^ka_k$$

Where the first sum in the end is divisible by $11$ so therefore $a$ is divisible by $11$ iff the last sum is (which is that of the criterion).

That $10^k - (-1)^k$ is divisible by $11$ is shown by induction. If $k=1$ the expression equals $10^1 - (-1) = 11$. Now if $10^k - (-1)^k$ is divisible by $11$ then so is $10(10^{k} - (-1)^k) = 10^{k+1}-11(-1)^k - (-1)^{k+1}$, but since $11(-1)$ is divisible by $11$ then so is $10^{k+1}- (-1)^{k+1}$.


(*) Apart from that there is an obvious printing error in the objective (both being "Proving that if the sum of the digits is divisible by $3$, then the integer is divisibly by $3$") of the parts there's more problems. In the first part the proof of $P(1)$ is basically incorrect, if the sum of the integers is $3$ it's by no means guaranteed that the number it self is $3$, you could for example have that the number is $111$ which makes the sum $3$, but certainly $111\ne 3$. Similar objection can be made to the induction step.

The second part is a bit better, but when it comes to splitting up into two cases it's incomplete. They correctly handles the situation where you get carry, but it ignores the possibility of propagating carry that is $a_1+1>9$.

skyking
  • 16,654
  • Forgive my stupidity, but do you mean to use your answer, I should scrap my answer and only use induction for the 10^k-(-1)^k bit? Thanks. – AgeOfTheGeek Jul 17 '17 at 09:34
  • You have not shown your approach or solution so I can't tell if that's any good, but I use induction only to show that $10^k-(-1)^k$ is divisible by $11$ the rest is just a matter of rewriting sums (with rules which of course could be proven by induction too if you want to). I'm a bit sceptical to the proofs for the criterion for divisibility by $3$ so I wouldn't use them as a template for such a proof. – skyking Jul 17 '17 at 10:03
  • My approach can be seen in the first image in my question^ – AgeOfTheGeek Jul 17 '17 at 10:33
  • I updated my answer explaining why trying to copy the proofs for the criterion for divisibility by $3$ is problematic, especially the first part (which is what you've tried) of the proof has some problems that needs to be addressed. – skyking Jul 17 '17 at 10:47
  • why do I need a1+1>9? – AgeOfTheGeek Jul 20 '17 at 07:17
  • Also, any suggestion on how to solve the P(1) problem? If you don't mind me asking here and sidetracking – AgeOfTheGeek Jul 20 '17 at 07:19
  • Maybe I could use P(0) so that P(n) is for all natural numbers? – AgeOfTheGeek Jul 20 '17 at 07:20
  • 1
    @AnnaCHOI Because if you have for example $297$ having the sum $2+9+7 = 18$ and then by adding $3$ to $297$ the first case would mean to consider the sum $2+9+10$ and the second would mean the sum $2+10+0$. What we need to do is to handle the carry from the tens part and get the sum $3+0+0$ instead. Similarily we need to handle the situation where the hundreds and thousands results in carry and so on. – skyking Jul 20 '17 at 07:44
  • The first step of the induction is normally not an issue and yes you can start at $0$ instead (or any number you want) induction will prove the statement valid for all subsequent integers as well. – skyking Jul 20 '17 at 07:45
  • However I'd suggest that you do not use the approach from the criterion for $3$ as they seem to try to do induction over the sums and not the numbers themselves. That would result in ambiguity (that they havent' even addressed). – skyking Jul 20 '17 at 07:48
0

Hint $ $ Assume for induction $\,{\rm mod}\ 11\!:\,\ \color{#c00}{f(10)\equiv f(-1)}\, [\,\equiv\rm alternating\ coef\ sum]\,$ for all polynomials $f(x)$ with integer coef's of degree $< n$. Then it also holds for a degree $n$ poly by

$\ \ f(x) = a + x\,\hat f(x)\ $ so $\ f(10)\equiv a + \color{#0a0}{10}\, \color{#c00}{\hat f(10)}\equiv a +\color{#0a0}{(-1)} \color{#c00}{\hat f(-1)}\equiv f(-1)\,\pmod{\!11}$

where, by $\,\deg \hat f < \deg f,\,$ induction applies to $\,\color{#c00}{\hat f(10)}.\,$ We also used $\,\color{#0a0}{10\equiv -1}\pmod{\!11}$

Remark $ $ This is a special case of the Polynomial Congruence Rule, an inductive extension of the Sum and Product Rules (which are both implicitly used above in the inductive step, to deduce that $b\equiv -1,\, c\equiv \hat c\,\Rightarrow a + bc\equiv a - \hat c).$

Bill Dubuque
  • 272,048
0

I came up with an alternative and I wonder if this is valid?

enter image description here