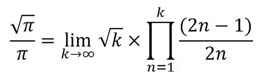
Find the limits (without Stirling's approximation ) :
$$\lim_{n}( \frac{1\cdot3\cdot5\cdot \cdot \cdot(2n-1)}{2\cdot4\cdot6 \cdot \cdot \cdot (2n)} ) =?$$
My Try :
$$\frac{1\times 3\times 5\cdots \times(2n-1)}{2\times 4\times 6\cdots \times(2n)}=\frac{(2n)!}{4^n(n!)^2}$$
now what ?
