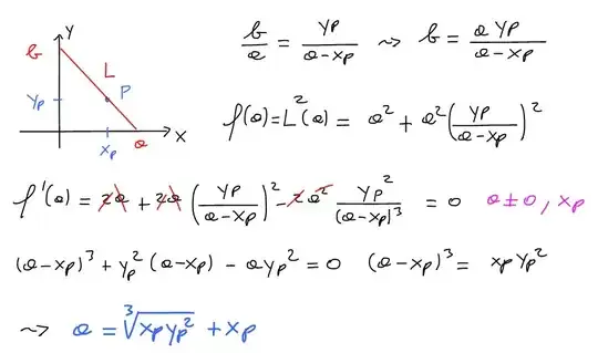
Given two perpendicular lines, $A$ and $B$, and a point $p$, I'm trying to find the points $a$ on $A$ and $b$ on $B$, such that $\overline{ab}$ passes through $p$ and is as short as possible.
I'm not very math-y, and my googling has failed to turn up a solution. Is there one?


