3

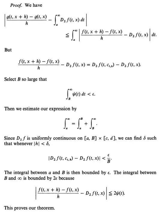
In the below proof in Lang's Undergraduate Analysis (Theorem 3.2 of Chapter 10 on p.287 of 1e), he talks about differentiation under the integral sign. There is a condition involving $\varphi$ and a condition involving $\psi$. I can't see where the condition involving $\varphi$ is used.

enter image description here

Explicitly, in order to say that I can move the derivative under the integral in $\frac{\partial}{\partial x}\int_a^\infty F(x,t)\, dt$, why do I require $F(x,t)$ is dominated by $\varphi(t)$ uniformly over $x$ such that $\int_a^\infty \varphi < \infty$?

Alp Uzman
  • 10,742
Eric Auld
  • 28,127

1 Answers1

5

The domination by $\varphi$ only serves to ensure that

$$g(x) = \int_a^{\infty} F(x,t)\,dt \tag{$\ast$}$$

exists for all $x \in [c,d]$. Once the existence of these integrals is settled, only the domination of $\frac{\partial F}{\partial x}$ by $\psi$ is needed.

We could explicitly demand the existence of the integral in $(\ast)$ for all $x$ as an improper Riemann integral - not requiring absolute integrability - and the proof would work the same, establishing a slightly stronger result.

Daniel Fischer
  • 206,697