3

How do we find the equation of a conic given five points on it?

Is there a quick method, such as some determinant; which may help solve for the equation easily?

Of course, one may just substitute the given 5 points in the general equation of the conic, and solve for the unknowns - but that method is very time consuming and exhausting.

Could someone please help me generate a matrix, whose determinant gives the required equation of the conic? Data available: Coordinates of 5 points on the conic.

Thanks in advance!

P.S. I've successfully generated a determinant for the equation of a circle, given three points on it.

Here's the link to where I first found it, and later proved it - Get the equation of a circle when given 3 points

3 Answers3

7

Given distinct points $P_1=(x_1,y_1), P_2=(x_2,y_2), P_3=(x_3,y_3), P_4=(x_4,y_4), P_5=(x_5,y_5)$, the equation of the conic through them is $$\det{\begin{pmatrix}x^2&xy&y^2&x&y&1\\x_1^2&x_1y_1&y_1^2&x_1&y_1&1\\x_2^2&x_2y_2&y_2^2&x_2&y_2&1\\x_3^2&x_3y_3&y_3^2&x_3&y_3&1\\x_4^2&x_4y_4&y_4^2&x_4&y_4&1\\x_5^2&x_5y_5&y_5^2&x_5&y_5&1\end{pmatrix}}=0.$$ The equation is not identically zero since the five points are distinct, and it is satisfied for the five points, since then the first row repeats the row of the point in question.

  • How did you prove it? – stoic-santiago Feb 19 '18 at 14:02
  • @schrodinger_16: The cofactor expansion along the first row shows it is a second degree equation, if it is not identically zero. Then you only need to know that a repeated row gives a zero of the determinant expression. If three of the points lie on a line the conic will be degenerate, though. – Jan-Magnus Økland Feb 19 '18 at 14:35
  • That seems to verify the formula, not 'prove' it in the first place. – stoic-santiago Feb 20 '18 at 03:44
  • 2
    @schrodinger_16: That’s one meaning of ‘prove’. I didn’t come up with the formula, it’s so standard I don’t even recall where I first saw it. But it is not a long stretch from the even more standard $\det{\begin{pmatrix}x&y&1\x_1&y_1&1\x_2&y_2&1\end{pmatrix}}=0$ giving the line through two points. – Jan-Magnus Økland Feb 20 '18 at 05:37
  • If four points of the given five are collinear, then the determinant vanishes identically. Cf. §5.6 in Koecher, Krieg: Ebene Geometrie, 3rd ed., Springer 2007. – ccorn Feb 21 '18 at 19:44
3

Jan-Magnus Økland's answer gives a beautiful and memorable big determinant formula. Now, big determinants are great as long as you do not need to expand them; otherwise a formula with smaller determinants might be preferable. Here is one. Let $\color{blue}{P}=(x,y)$, $P_i=(x_i,y_i)$ and $$\langle P_i,P_j,P_k\rangle = \begin{vmatrix} x_i & x_j & x_k \\ y_i & y_j & y_k \\ 1 & 1 & 1 \end{vmatrix} = \begin{vmatrix} x_j & x_k \\ y_j & y_k \end{vmatrix} + \begin{vmatrix} x_k & x_i \\ y_k & y_i \end{vmatrix} + \begin{vmatrix} x_i & x_j \\ y_i & y_j \end{vmatrix}$$ Then the conic through $P_1,\ldots,P_5$ can be described as $$\begin{align} \langle P_1,P_3,P_5\rangle \langle P_2,P_4,P_5\rangle \langle P_1,P_2,\color{blue}{P}\rangle \langle P_3,P_4,\color{blue}{P}\rangle \\{} - \langle P_1,P_3,\color{blue}{P}\rangle \langle P_2,P_4,\color{blue}{P}\rangle \langle P_1,P_2,P_5\rangle \langle P_3,P_4,P_5\rangle &= 0 \tag{1} \end{align}$$ The proof strategy is the same as indicated in Jan-Magnus Økland's comment: The equation is of total degree at most $2$ in $x,y$ and fulfilled for $\color{blue}{P}\in\{P_1,\ldots,P_5\}$.

As to where this equation comes from: There is a nice way to parametrize the family of conics through four given points: The ratio $$ \langle P_1,P_2,\color{blue}{P}\rangle \langle P_3,P_4,\color{blue}{P}\rangle : \langle P_1,P_3,\color{blue}{P}\rangle \langle P_2,P_4,\color{blue}{P}\rangle$$ is constant for each conic. Giving a fifth point determines that constant except in some cases of collinearity. Equation $(1)$ is the result.

ccorn
  • 9,803
2

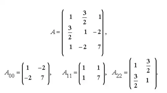
You can try to use this matrix, although you must first replace the points in the general formula, to obtain the constants. enter image description here

In this case, you can use the determinant of this matrix square A to that you know who is the conic that represent this equation, and use this table for that you can identificate what sort of conic is. enter image description here

where, for example, the value of A00, A11 are found so.

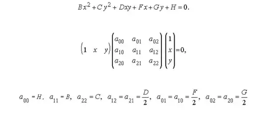
enter image description here