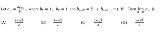
Can anyone solve this problem ?
I could not find any relation between terms of sequence. So what is nth term of bn ? Can we evaluate an without finding bn ? Please help
Can anyone solve this problem ?
I could not find any relation between terms of sequence. So what is nth term of bn ? Can we evaluate an without finding bn ? Please help