MY "ANSWER": I can get you started on the right track using the following two identities:
$$\bbox[lightgray,15px]
{
\int_0^1 x^n\ln(1-x)dx=-\frac{H_{n+1}}{n+1}
}$$
$$\bbox[lightgray,15px]
{
\frac{1}{2}\ln^2(1-x)=\sum_{n=1}^\infty \frac{H_n x^{n+1}}{n+1}
}$$
From these, we have
$$\begin{align}
\int_0^1 \ln(1-\sqrt x)\ln^2(1+\sqrt x)
&=\int_0^1 2x\ln(1-x)\ln^2(1+x)dx\\
&=\int_0^1 4x\ln(1-x)\sum_{n=1}^\infty \frac{(-1)^{n+1}H_n x^{n+1}}{n+1}dx\\
&=4\sum_{n=1}^\infty \frac{(-1)^{n+1}H_n}{n+1}\int_0^1 x^{n+2}\ln(1-x)dx\\
&=4\sum_{n=1}^\infty \frac{(-1)^{n}H_n}{n+1}\frac{H_{n+3}}{n+3}\\
&=4\sum_{n=1}^\infty \frac{(-1)^{n}H_nH_{n+3}}{(n+1)(n+3)}
\end{align}$$
This is an Euler Sum and can probably be computed using some polylogarithms and a lot of algebra. Euler sums get really messy to do by hand, so this is where I abandon the problem and turn to Wolfram.
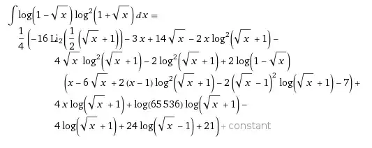
WOLFRAM'S ANSWER: Wolfram evaluates this integral as
$$\int_0^1 \ln(1-\sqrt x)\ln^2(1+\sqrt x)=\frac{11}{4}-\frac{\pi^2}{3}$$
and actually gives an antiderivative:
