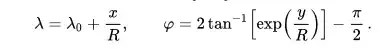
Say I have a mercator projection map:
I would like to calculation the latitude for different points with one formula. I have already resaerched several sites and wikipedia, where the hole math is explained and predefined formulas exists, but they all do not work for me. For the extremes like north pole, south pole and Equator they work. But for places in between them, I do not get the correct results.
Can someone help me, just writing down the correct formula to calculate the latitude from a y point.
latitude(y) = ?
A : y=-1 -> latitude = 90
B: y=0 -> latitude = 0
C: y= 1 -> latitude = -90
D: y= 0.2 (around) -> latitude = -34 (around) This is cape town.
I tried the following formulas, which did not work for me:


