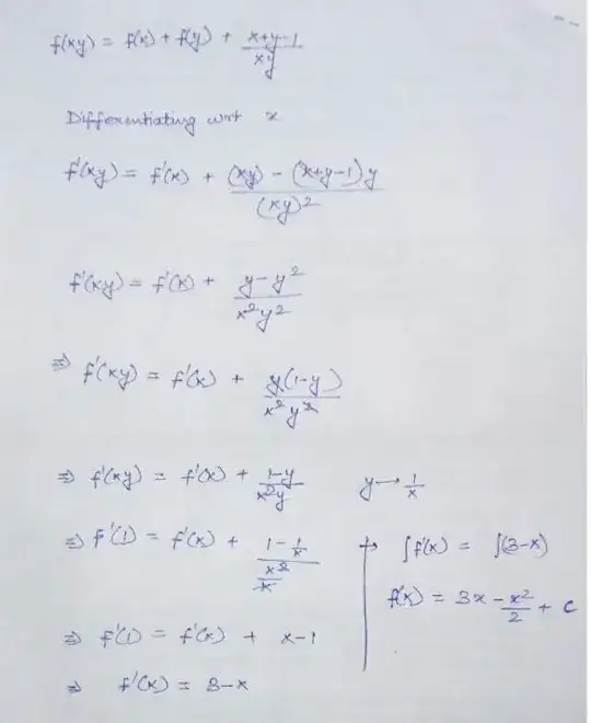
Let $f$ be a differentiable function satisfying the functional rule $f(xy) = f(x) +f(y) + \frac{x+y-1}{xy}$ such that $x,y>0$ and $f'(1) = 2$. Then what is the value of $[f(e^{100})]$.
Where $\lfloor k \rfloor$ denotes the greatest integer less than or equal to $k$.
My try :
