$\color{red}{\textbf{The currently accepted answer (as of 2022-12-16) is incorrect.}}$ Here I'll give an example that makes the incorrectness clear. Then I'll provide a correct method to solve this problem, including examples and a Mathematica implementation.
Paraphrasing the other answer
Let $X$ denote the number of steps until absorption, and let $Z_j$ be the event "we end up in absorbing state $S_j$." ($Z_j$ is only meaningful for $j$ s.t. $S_j$ is an absorbing state.) Suppose we want $E[X | Z_G]$ for some goal state $S_G$. The other answer suggests the following algorithm:
- Delete the other absorbing state state(s) from the system.
- Iteratively delete any state that can only transition to deleted state(s). Repeat until there's an iteration with no new deletions.
- For each state that currently could transition to one or more deleted states, modify its transition probabilities to condition on not transitioning to those deleted states on the current step.
- The above steps give a modified Markov chain in which every transient state eventually ends up at $S_G$. Use standard methods to find $E[X]$ for that MC. This is the answer to the original problem.
Why that answer is incorrect (example)
First, an example. Let's say we have states $S_0, S_1, S_2, S_3$ which represent my current bankroll. If I have \$0 I can't play anymore. If I have \$1, I bet my dollar on a coin toss with $P[\text{win}] = \frac 1 {1000}$, ending up with either \$0 or \$2. If I have \$2, I bet \$1 on a coin toss with $P[\text{win}] = \frac 1 2$, ending up with either \$1 or \$3. Finally, if I have \$3 then I go home happy.
The transition matrix is: $$P = \left(\begin{array}{cccc}
1 & 0 & 0 & 0 \\
\frac{999}{1000} & 0 & \frac{1}{1000} & 0 \\
0 & \frac{1}{2} & 0 & \frac{1}{2} \\
0 & 0 & 0 & 1
\end{array} \right)$$
Let's say I start the game with \$2 and I want to compute $E[S | Z_3]$. If I follow the algorithm described above, I will first delete the other absorbing state $S_0$, then adjust the transition probabilities from $S_1$, getting the new matrix
$$\hat P = \left(\begin{array}{ccc}
0 & 1 & 0 \\
\frac{1}{2} & 0 & \frac{1}{2} \\
0 & 0 & 1
\end{array} \right)$$
At this point we can find the expected absorption time by Markov chain methods, or even just in our heads because the new MC is so simple. I'll demo the second approach just for fun. We have $\frac 1 2$ chance to win in 1 step, then $\frac{1}{4}$ chance to win in 2 steps, then $\frac{1}{8}$ chance to win in 3 steps, and so on, so the expected game length is $$E[X | Z_3] = \sum_{n=1}^\infty \frac{n}{2^n} = \color{red}{\boxed{2}}.$$
This answer doesn't pass intuitive sanity checks. Think back to the original Markov chain before we pruned it. We have $\frac{1}{2}$ chance of winning the game on the first turn. If we don't win immediately, then we move to state $S_1$, and from there we have extremely high probability of losing the game immediately. This means that the games where we win will overwhelmingly be games where we just won the very first coin toss, so we should get $E[X | Z_3] = 1 + \varepsilon$ where $\varepsilon$ is some TBD small positive number. I'll use this same example below and we can confirm this intuition.
Corrected algorithm
We can follow these steps:
- For each state $S_j$, compute $g_j := P[Z_G | \text{ start at } S_j]$. There's a standard formula to compute these; see Wikipedia.
- Now compute a whole new transition matrix $\tilde P$. If $p_{jk}$ was the original transition probability from $S_k$ to $S_j$, then define $\tilde p_{jk} = P[\text{step from $S_k$ to $S_j$} | Z_G]$. This can be computed using Bayes' Theorem and it turns out we get $\tilde p_{jk} = \frac{g_j p_{jk}}{g_k}$; see extra details below. Exception: We don't modify the transition probabilities starting from absorbing states.
- The modified Markov chain $\tilde P$ exactly describes the transition probabilities for random walkers who will eventually end up state $S_G$ (unless they started in some other absorbing state). The expected time till absorption in this MC is exactly the quantity we set out to find, and we can compute it using another standard MC method.
Step (2) is not on Wikipedia's list of standard MC calculations, so I'll give extra details here. The idea is to use Bayes' Theorem but with all probabilities conditioned on our current location being $S_k$. We compute:
$$\begin{align}
\tilde p_{jk} &= P[\text{next location is $S_j$} | Z_G, \text{current location is $S_k$}] \\
&= \frac{P[Z_G | \text{next location is $S_j$, curr location is $S_k$}] P[\text{next location is $S_j$ | curr location is $S_k$}]}{P[Z_G | \text{curr location is $S_k$}]} \\
&= \frac{g_j p_{jk}}{g_k}
\end{align}$$
Example 1: My counterexample from above
Let's calculate the $E[X | Z_3]$ for the simple MC I used to show the other proposed strategy doesn't work. I'm not going to show every step of plugging into formulas, but I'll give the main intermediates so that readers could use this to confirm their understanding of the method.
Step 1: We find $g_0 = 0$, $g_1 = \frac{1}{1999}$, $g_2 = \frac{1000}{1999}$, $g_3 = 1$.
Step 2: The modified transition matrix is:
$$\tilde P = \left(\begin{array}{cccc}
1 & 0 & 0 & 0 \\
0 & 0 & 1 & 0 \\
0 & \frac{1}{2000} & 0 & \frac{1999}{2000} \\
0 & 0 & 0 & 1
\end{array} \right)$$
Step 3: Our final answer is $E[X | Z_G] = \color{blue}{\boxed{\frac{2001}{1999}}}$.
Note this time our answer agrees with the "intuitive sanity check" above, where we reasoned that the answer should be very slightly larger than 1.
Example 2: The actual problem stated in this question
The results are much messier this time. Starting from state $S_2$, I get $$E[X : Z_5]
= \boxed{\frac{5 - 3 p + 3 p^2 - 7 p^3 +
5 p^4 - p^5}{(-2 + p) (-1 + p^2 - 2 p^3 + p^4)}}$$
I'm not including intermediate results because they're quite messy and I assume anyone interested in this method would just be implementing in some CAS anyway. (I myself used Mathematica.)
A couple of examples: if $p = 0.5$ then the answer is 2.6. If $p = 0.999$ then the answer is 2.001. If $p = 0.001$ then the answer is 2.49975.
My Mathematica implementation
(* Define the goal state G and the transition matrix P. For this \
implementation to work, we need all transient states to be before G, \
and all "bad" absorbing states to be after G. *)
G = 5;
P = ({
{0, p, 0, 0, 0, 1 - p},
{0, 0, 0, p, 0, 1 - p},
{1 - p, 0, 0, 0, p, 0},
{0, 0, 1 - p, 0, p, 0},
{0, 0, 0, 0, 1, 0},
{0, 0, 0, 0, 0, 1}
});
dim = Length[P];
Q = P[[1 ;; G - 1, 1 ;; G - 1]]; (* transient part *)
R = P[[1 ;; G - 1, G ;; dim]];
n = Inverse[IdentityMatrix[Length[Q]] - Q];
B = n . R // Simplify;
(* g[k] = P[win | start in state k] )
g = Join[B[[All, 1]], {1}];
( modified transition matrix )
Ptilde = Table[
P[[j]][[k]]g[[k]]/g[[j]] // Simplify
, {j, 1, G}, {k, 1, G}];
Qtilde = Ptilde[[1 ;; G - 1, 1 ;; G - 1]];
Ntilde = Inverse[IdentityMatrix[Length[Qtilde]] - Qtilde];
(* tt holds the final expected number of turns till absorption given
that we eventually win. tt is a list that holds the answers for each
transient state in order. *)
tt = Ntilde . Table[1, {k, 1, Length[Ntilde]}] // Simplify
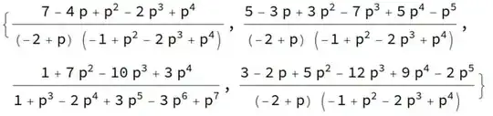
The output looks like 
Note the 2nd term in that list (i.e. the answer starting from state $S_2$) is the answer I quoted for example 2 above.