6

Problem

I would like to compute the integral:

\begin{align} \int_{0}^{+\infty} \text{erf}(ax+b) \exp(-(cx+d)^2) dx \tag{1} \end{align}

I have been looking at this popular table of integral of the error functions, and also found here the following expression:

\begin{align} \int_{-\infty}^{+\infty} e^{-(\alpha x+ \beta)^2} \text{erf}(\gamma x+\delta) dx = \dfrac{\sqrt{\pi}}{\alpha} \text{erf} \left[ \dfrac{\alpha \delta - \beta \gamma}{\sqrt{\alpha^2+ \gamma^2}} \right] \tag{2} \end{align}

as well as:

\begin{align} \int_{0}^{+\infty} e^{-\alpha^2 x^2} \text{erf}(\beta x) dx = \dfrac{\text{arctan}(\beta / \alpha)}{\alpha \sqrt{\pi}} \tag{3} \end{align}

However the latter (3) is only a particular case of (1), which is what I am looking for. Do you know how to prove (2)? This might help me understand how to compute (1)? Or do you know how to compute (1)?

2 Answers2

2

Partial solution

Define: $$I\left( \delta \right)=\int_{-\infty }^{+\infty }{{{e}^{-{{(\alpha x+\beta )}^{2}}}}}\text{erf}(\gamma x+\delta )dx$$ now differentiate with respect to $\delta$ $$\begin{align} & \frac{dI}{d\delta }=\int_{-\infty }^{+\infty }{{{e}^{-{{(\alpha x+\beta )}^{2}}}}}\frac{\partial }{\partial \delta }\left( \text{erf}(\gamma x+\delta ) \right)dx \\ & \quad \quad =\int_{-\infty }^{+\infty }{{{e}^{-{{(\alpha x+\beta )}^{2}}}}\left( \frac{2{{e}^{-{{\left( \gamma x+\delta \right)}^{2}}}}}{\sqrt{\pi }} \right)}dx\ \\ & \quad \quad =\frac{2}{\sqrt{\pi }}\int_{-\infty }^{+\infty }{{{e}^{-{{(\alpha x+\beta )}^{2}}-{{\left( \gamma x+\delta \right)}^{2}}}}}dx=\frac{2}{\sqrt{\pi }}\left( \frac{\sqrt{\pi }{{e}^{-\frac{{{\left( \alpha \delta -\beta \gamma \right)}^{2}}}{{{\alpha }^{2}}+{{\gamma }^{2}}}}}}{\sqrt{{{\alpha }^{2}}+{{\gamma }^{2}}}} \right) \\\end{align}$$ Finally, you can find that: $$I\left( \delta \right)=\frac{\sqrt{\pi }}{\alpha }\textrm{erf}\left( \frac{\alpha \delta -\beta \gamma }{\sqrt{{{\alpha }^{2}}+{{\gamma }^{2}}}} \right)$$

  • 3
    The proof you presented is known; the problem lies with the lower limit of 0 instead of $-\infty.$ I upvoted anyway because the OP wants a proof of this formula too. – user321120 Aug 30 '18 at 15:01
  • you are right, in fact i figured that lately,....may be i Should delete my answer?? –  Aug 30 '18 at 15:03
  • 1
    Leave the answer -- it may inspire the OP or a reader to derive an answer, though I'm not too hopeful. – user321120 Aug 31 '18 at 01:09
1

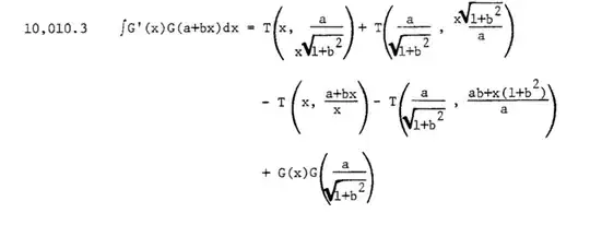
Owen's Table of Normal Integrals provides the indefinite integral

Indefinite Integral

Just insert your integration limits, replace the normalized Laplacians by the erf with a few steps and you are done. But the answer is not very useful as it involves 4 times Owen's T function...

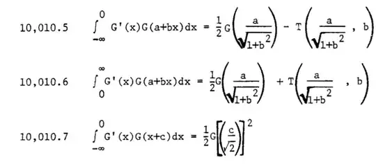
For $c=1$ and $d=0$, Owen's Table of Normal Integrals gives you a simplified answer but only for a few limits

SpecialCase

where the middle on appears to be yours. Personally, I am still trying to get a derivation of these integrals which turns out to be really hard, see here.