Once again, I am not interested in the answer. But rather, where is/are my mistake(s)? Perhaps the solution route is hopeless:
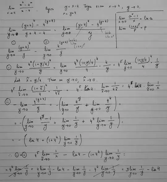
Question is: evaluate $\lim_{x \to 4} \frac{x^4 -4^x}{x-4}$.
My workings are:
Let $y=x-4$. Then when $x \to 4$, we have that $y \to 0$. Thus:
$$\lim_{y \to 0} \frac{(y+4)^4 - 4^{y+4}}{y} = \\ = \lim_{y \to 0}\frac{(y+4)^4}{y} - \lim_{y \to 0} \frac{4^{(y+4)}}{y} $$
And this step is not allowed from the get go, as I am deducting infinities, which is indeterminate. What I should have done though:
$$4^4 \lim_{y \to 0} \frac{(1+y/4)^4-1+(4^y-1)}{y} = \\ 4^4 \lim_{y \to 0} \left( \frac{(1+y/4)^4-1}{\frac{y}{4}4} - \frac{4^y-1}{y} \right) = \\ =4^4\left(\frac{1}{4} \cdot 4 - \ln 4 \right) = 256(1-\ln 4)$$
