4

I did this using trial and error, but I was just wandering if there is an algebraic way of solving this?

I thought about double angle formula but that doesn't work properly does it?

I then tried writing it in the form $x \cdot 2 \cot(x) = 1$ but even then, I can't solve it properly by re-writing $\cot(x)$ because of the $x$ outside the brackets.

Anybody know how I would do this algebraically?

Later
  • 722
  • 2
  • 8
  • 24
Kaish
  • 6,126

2 Answers2

1

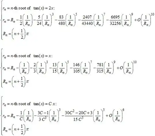
Of course, the roots are transcendantal numbers, which cannot be expressed in terms of a finite number of elementary functions. But they can be expressed on the forme of series :

enter image description here

JJacquelin
  • 66,221
  • 3
  • 37
  • 87
-3

It cannot be solved algebraically as it is a transcendental equation.

user62067
  • 104
  • 4
    There are trascendental equations that can be solved algebraically. For instance, $\sin x = \cos x$. – vonbrand Feb 14 '13 at 01:38