There is something I am misunderstanding about simplification. For example:
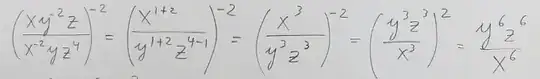
Given: $y^6$$z^6$/$x^6$
Why can I not take the 6th roof of both to simplify to $yz$/$x$? I clearly see that both expressions are not equal, yet I am tempted to make such a mistake. I realize that I cannot do this, perhaps someone can shed light on simplification rules. I realize this is a dumb question but I am revisiting math since I was never adept at it and I want to get good at it. My guess is that I am changing the value of it, and that simplifying is no longer taking place, I am not ordering everything into equal and less terms, I am changing the value. I get confused because it seems that I am just changing the proportions and not the value.
For context, I am reviewing exponent rules and here is a pic from the youtube video the problem is from: 
I understand the exponent rules, I just was tempted to attempt to simplify more at the end.