1

$$\lim_{n\rightarrow \infty}\sum_{r=1}^{n-1}\frac{\cot^2(r\pi/n)}{n^2}$$

How can I calculate the value of this trigonometric function where limits tends to infinity? I have thought and tried various of methods like using:

  1. Tan(x)/x property
  2. Converting lim to Integration
  3. Sandwich theorem
  4. Trigonometric series

But none worked out for me.

So please tell me a good and easy approach for this question :)

Mark Viola
  • 179,405

3 Answers3

4

By applying Vieta's formulas to Chebyshev polynomials of the second kind we have $$ \sum_{r=1}^{n-1}\cot^2\left(\frac{\pi r}{n}\right)=\frac{(n-1)(n-2)}{3} $$ (compare Cauchy's proof of $\zeta(2)=\frac{\pi^2}{6}$ in his Cours d'Analyse) hence the wanted limit is clearly $\frac{1}{3}$.

Jack D'Aurizio
  • 353,855
4

It would be naïve and incorrect to proceed as follows

$$\begin{align} \sum_{k=1}^{n-1}\frac{\cot^2(\pi k/n)}{n^2}&\underbrace{\approx}_{\text{WRONG!}} \frac1n\int_{1/n}^{1-1/n}\cot^2(\pi x)\,dx\\\\ &=\frac1n\left.\left(-x-\frac1\pi \cot(\pi x)\right)\right|_{1/n}^{1-1/n}\\\\ &=\frac2{n^2}-\frac1n +\frac2{n\pi}\cot(\pi/n)\\\\ &\to \frac2{\pi^2} \end{align}$$


Instead, we use $\cot^2(x)=\csc^2(x)-1$ to write

$$\begin{align} \sum_{k=1}^{n-1}\frac{\cot^2(\pi k/n)}{n^2}&=\frac1n-\frac1{n^2}+\sum_{k=1}^{n-1}\frac{1}{n^2\,\sin^2(\pi k/n)}\\\\ &=\frac1n-\frac1{n^2}+2\sum_{k=1}^{\lfloor n/2\rfloor-1}\frac{1}{n^2\,\sin^2(\pi k/n)} \end{align}$$

Next, we note that for $\pi/2>x>0$, $\left(x-\frac16 x^3\right)^2\le \sin^2(x)\le x^2$. Hence, we have

$$\begin{align} \frac2{\pi^2}\sum_{k=1}^{\lfloor n/2\rfloor-1}\frac1{k^2} \le \frac2{n^2}\sum_{k=1}^{\lfloor n/2\rfloor-1}\frac{1}{n^2\,\sin^2(\pi k/n)}&\le \frac2{\pi^2}\sum_{k=1}^{\lfloor n/2\rfloor-1}\frac1{k^2\left(1-\frac16\frac{\pi^2k^2}{n^2}\right)^2}\\&=\frac2{\pi^2}\sum_{k=1}^{\lfloor n/2\rfloor-1}\frac1{k^2}+O\left(\frac1n\right) \end{align}$$

whence letting $n\to \infty$ and applying the squeeze theorem yields the coveted limit

$$\lim_{n\to\infty}\sum_{k=1}^{n-1}\frac{\cot^2(k\pi/n)}{n^2}=\frac13$$

Mark Viola
  • 179,405
  • +1. Nice job.${}$ – Felix Marin Jan 08 '19 at 20:41
  • @FelixMarin Hi Felix! Happy New Year. And thank you. Much appreciated. – Mark Viola Jan 08 '19 at 20:58
  • Happy New Year, Mark Viola. – Felix Marin Jan 08 '19 at 21:07
  • @MarkViola Then what is the mistake if I write cot(x) in terms of tan(x), use tan(x)/x property with basel problem where sum(1/k^2)= π^2/6 because that eventually results in with a wrong answer :1/6 though the answer is 1/3.What is my mistake here? – Shubham Gawri Jan 09 '19 at 19:26
  • @ShubhamGawri I'd like to help, but I don't know what you mean by "write $\cot(x)$ in terms of $\tan(x)$" and "use the $\tan(x)/x$ property. Do you mean $\cot(x)=1/\tan(x)$? Or do you mean $\cot(x)=\tan(\pi/2-x)$? Or do you mean something else? And what is the $\tan(x)/x$ property that you referenced? – Mark Viola Jan 09 '19 at 20:34
  • @MarkViola Ok sorry I meant to write cot(x) as 1/tan(x) and multiply divide {π^2/n^2,4π^2/n^2,9π^2/n^2.....so on} so as to evaluate limit using property tan(x)/x =1 when x tends to zero. I hope now it's clear. – Shubham Gawri Jan 09 '19 at 20:50
  • 1
    So, you have $$\frac{\cot^2(k\pi/n)}{n^2}=\frac{1}{n^2\tan^2(k\pi /n)}=\frac{1/(k\pi/n)^2}{n^2 \frac{\tan^2(k\pi/n)}{(k\pi/n)^2}}=\frac{1}{\pi^2k^2}\times \frac{1}{\frac{\tan^2(k\pi/n)}{(k\pi/n)^2}}$$Now what? While $\tan(x)/x\to 1$ as $x\to 0$, there are many terms in the series such that $k\pi/n$ is not close to zero. Keep in mind that $1\le k\le n-1$. – Mark Viola Jan 09 '19 at 22:22
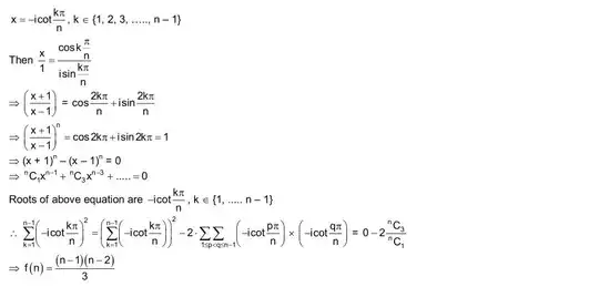
2

Here I came up with a solution involving only elementary calculation, I hope it's appreciable...

(Sorry as it's in image form)

soln