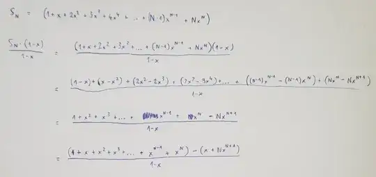
I have been asked to calculate a general formula for $1 + b + 2b^2 + 3b^3 + ... + Nb^N$
I think that a part of this is a geometric sequence, and I have rewritten this as
$f(x) = 1 + \sum_{i=1}^n i\cdot x^i$
(I couldn't figure out a way to make the first term be 1 with the progression so I just removed it from the series instead)
When I look on Wolfram Alpha it says that the partial sum formula for $ \sum_{i=1}^n i\cdot x^i$ is:
$$\sum_{i=1}^n i\cdot x^i = \frac{(nx-n-1)x^{n+1}+x}{(1-x)^2}$$
On this question, an answer said that the general formula for the sum of a finite geometric series is:
$$\sum_{k=0}^{n-1}x^k = \frac{1-x^n}{1-x}$$
But if I substitute my ($i\cdot x^i$) into the formula mentioned above I don't get the same value as the one Wolfram gives me.
Two questions:
- Is it correct to pull the first term out of the series so it becomes a geometric series, or is there another way?
- How did Wolfram Alpha calculate that expression?

