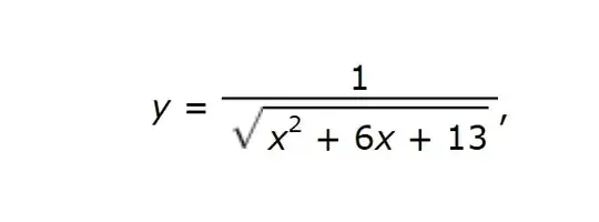
Hi I am trying to solve an integral problem that involves trig substitution. First I tried completing the square, which gave me $1/\sqrt{(x+3)^2+2^2}$. I know I am supposed to use $x = \arctan(\theta)$. Does that mean it should be:
$x + 3 = \arctan(\theta)$
$x = \arctan(\theta) - 3$
and then Integrate from there? I am not sure if this is a good way of thinking about this problem. I would appreciate any help!

