It's related to my post : New bound for Am-Gm of 2 variables
In fact I have discovered (maybe it's already knew) a new formula for convex function this is the following :
Let $f(x)$ be a twice differentiable function on an interval $I$ with :
1) $f(x)\geq 0\quad \forall x \in I$
2)$f''(x)\geq 0\quad \forall x \in I$
3)$f(x)\neq \text{constant function} $
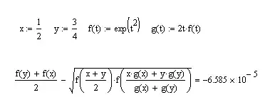
Then we have for $x,y \in I$: $$\sqrt{f\Big(\frac{xf'(x)+yf'(y)}{f'(x)+f'(y)}\Big)f\Big(\frac{x+y}{2}\Big)}\leq \frac{f(x)+f(y)}{2}\leq \frac{f\Big(\frac{xf'(x)+yf'(y)}{f'(x)+f'(y)}\Big)+f\Big(\frac{x+y}{2}\Big)}{2}$$
For the RHS we can use Karamata's inequality , the first line of the majorization is easy to check the second line gives :
$$x+y\leq \frac{xf'(x)+yf'(y)}{f'(x)+f'(y)}+\frac{x+y}{2}$$
Or after manipulation:
$$\frac{x+y}{2}(f'(x)+f'(y))\leq xf'(x)+yf'(y)$$
Wich is true because $f'(x)$ is increasing ($f''(x)\geq 0$) .
The LHS is more delicate and it's the reason why I post here . Maybe we can introduce the logarithm and see what happend...
So if you have any hints it would be nice (or a counter-example) .
Thanks in advance for your time .
Ps: For the story I'm inspired by Slater's inequality and Jensen's inequality .
