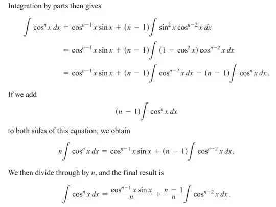
When they add $(n-1)\int \cos^{n}xdx$ to both sides of the equation how does $-(n-1)\int \cos^{n}xdx$ become $n\int \cos^{n}xdx$? Shouldn't it become $(n-1)\int \cos^{n}xdx$ on the left and the one on the right becomes zero?
-
LHS has $1$, so $n-1+1=n$. – herb steinberg Jun 24 '19 at 21:32
-
Oh yes. I see now. – Jinzu Jun 24 '19 at 21:37
-
Because $1+(n-1)=n$. – azif00 Jun 24 '19 at 21:37
1 Answers
$$\int \cos^n x ~dx=\cos^{n-1}x~\sin~x+(n-1)\int \cos^{n-2}x~dx-(n-1)\int \cos^n x~dx\qquad . .. . .. (1)$$ If you add both side by $$(n-1)\int \cos^n x~dx$$then $(1)$ becomes $$\int \cos^n x ~dx+(n-1)\int \cos^n x~dx=\cos^{n-1}x~\sin~x+(n-1)\int \cos^{n-2}x~dx-(n-1)\int \cos^n x~dx+(n-1)\int \cos^n x~dx$$ $$\implies (1+n-1)\int \cos^n x ~dx=\cos^{n-1}x~\sin~x+(n-1)\int \cos^{n-2}x~dx+\{(n-1)-(n-1)\}\int \cos^n x~dx$$ $$\implies n\int \cos^n x ~dx=\cos^{n-1}x~\sin~x+(n-1)\int \cos^{n-2}x~dx$$
Alternative thought:
$$\int \cos^n x ~dx=\cos^{n-1}x~\sin~x+(n-1)\int \cos^{n-2}x~dx-(n-1)\int \cos^n x~dx$$ $$\implies \int \cos^n x ~dx +(n-1)\int \cos^n x~dx=\cos^{n-1}x~\sin~x+(n-1)\int \cos^{n-2}x~dx$$ $$\implies (1+n-1)\int \cos^n x ~dx=\cos^{n-1}x~\sin~x+(n-1)\int \cos^{n-2}x~dx$$ $$\implies n\int \cos^n x ~dx=\cos^{n-1}x~\sin~x+(n-1)\int \cos^{n-2}x~dx$$
- 9,222
