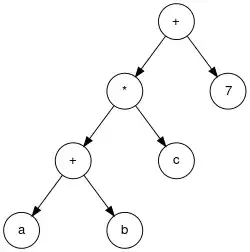
Operators usually have different notations (prefix, infix, postfix, ... ?), but expressions using them can all be transformed into expression trees.
E.g. ((a + b) * c) + 7
Is this true for all expressions used in mathematics?
What insights can this give us?
