0

enter image description here

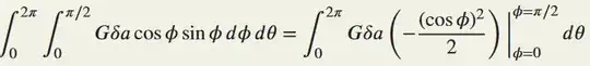
The above is a line in my textbook. $G, \delta, $ and $a$ are constants, the inner integral is just

$$\int_0^{\pi/2} \cos\phi \sin\phi\, d\phi$$ Shouldn't the antiderivative of that be $\frac{(\sin\phi)^2}{2} $ and not $ -\frac{(\cos\phi)^2}{2}$?

user170231
  • 19,334
James Ronald
  • 2,331
  • 3
    $\sin^2\phi=1-\cos^2\phi$; the two antiderivatives are correct because they differ by a constant. – user170231 Sep 27 '19 at 16:02
  • I imagine you chose $u = \sin \phi$ for u-sub, but you could have just as well picked $u = \cos \phi$. Like @user170231 states: they're equivalent up to an additive constant because of Pythagorean identity. Note that it doesn't matter which one you pick here because it's a definite integral so the constant term will subtract away. – Cameron Williams Sep 27 '19 at 16:04

2 Answers2

1

In the textbook, the inner integral is carried out as

$$\int_0^{\pi/2}\cos\phi \sin\phi d\phi = -\int_0^{\pi/2}\cos\phi d(\cos\phi) =- \frac 12 \cos^2\phi |_0^{\pi/2} $$

Alternatively, $$\int_0^{\pi/2}\cos\phi \sin\phi d\phi = \int_0^{\pi/2}\sin\phi d(\sin\phi) = \frac 12 \sin^2\phi |_0^{\pi/2} $$

After taking the boundary values, they are the same.

Quanto
  • 97,352
0

Here is an additional constribution to Quanto's answer: \begin{align*} \int_{0}^{\pi/2}\cos(\theta)\sin(\theta)\mathrm{d}\theta = \int_{0}^{\pi/2}\frac{\sin(2\theta)}{2}\mathrm{d}\theta = -\frac{\cos(2\theta)}{4}\bigg\rvert_{0}^{\pi/2} = \frac{1}{2} \end{align*}

user0102
  • 21,572