Can you help with this problem please?

Asked
Active
Viewed 612 times
2 Answers
0
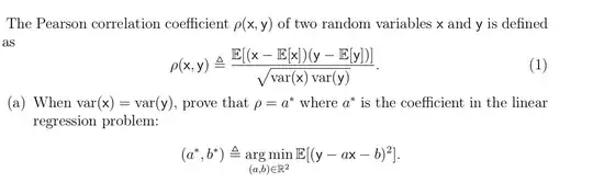
Linear regression obtains$$0=\operatorname{cov}\left(Y-a^\ast X,\,X\right)=\operatorname{cov}\left(Y,\,X\right)-a^\ast\operatorname{Var}X,$$so in the equal-variance case$$\rho=\frac{\operatorname{cov}(X,\,Y)}{\sqrt{\operatorname{Var}X\operatorname{Var}Y}}=a^\ast.$$
J.G.
- 115,835
-
thank you! I know the part of correlation coefficient. But I'm confused why from min linear regression you could get cov(Y-a*X,X)=0 – Thomas Nov 09 '19 at 14:39
-
@Thomas For that I recommend you learn how least-squares regression works, preferably from sources that make the geometric interpretation explicit. The key insight is that $Y=a^\ast X+\eta$ with $\eta$ a noise variable "orthogonal" to $X$, in a vector space of random variables for which covariance is an inner product. See here & here. – J.G. Nov 09 '19 at 14:54
-
very good explanation. thank you! I have just watched a video to know more about its geometric explanation. – Thomas Nov 09 '19 at 15:18
-
@Thomas Which video? Maybe I should watch it (although I probably already have, if it's a 3blue1brown video). – J.G. Nov 09 '19 at 16:14
-
Sorry it's a video in bilibili. not an English video. If you want the video, i can send you the link haha. – Thomas Nov 09 '19 at 17:25
0
Please show some effort. Here some hints:
Start from the linear regression framework and rewrite, using the linearity of expectation $E[(X-aY-b)^2]$ as a polynomial in $a,b$ ;
Find the extrema of the polynomial using $\partial_a=0$ and $\partial_b=0$. This is a linear system that can be solved ;
- Compare explicitely the expression you obtain with the Pearson correlation coefficient ;
Thomas
- 4,029