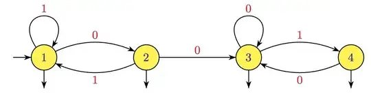
Find minimal DKA for language of all words in alphabet $ \left\{ 0,1 \right\}^* $ in which every double zero $00$ comes before every double one $11$. Also find the regular expression for the language. $$$$
I tried constructing a NFA epsilon, but I am not sure if my logic is correct.
Asked
Active
Viewed 64 times
1
user15269
- 1,632
-
Find the regular expression for the language: see this question. – J.-E. Pin Dec 02 '19 at 10:57
