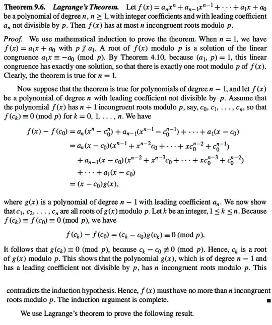
Find all incongruent roots modulo $13$ of $x^4+x^2+x+1$
So by Lagrange theorem, there should be $4$, because the highest degree is $4$ and the coefficient in front of it is $1$, which divides $13$.
The solution says that $7$ is the only solution but doesn't say why or how they found it
Edit Below was the theorem cited in earlier drafts (discussed in comments)

