I am implementing the Jacobi Method and the Gauss-Seidel Method in the C programming language right now.
I successfully implemented the Jacobi Method and am getting the correct results for each iteration, but currently I struggle with implementing the Gauss-Seidel Method.
If I implemented both algorithms according to their pseudocode on wikipedia:
(Gauss-Seidel Method Algorithm)
(Jacobi Method Algorithm)
...then I would end up with the same implementation in the C programming language.
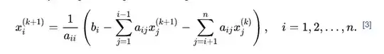
Both method obviously differ from one another, so instead of looking at the algorithms on wikipedia I instead decided to implement the methods by looking at their formulas.
(Gauss-Seidel Formula)
But my program code below doesnt work as intended yet. I get the wrong results for x^(k+1)
Here is my current source code:
maxIterations = 50;
A = Matrix;
b = Vector;
x = xNew = Vector;
for(int iteration = 0; iteration < maxIterations; iteration++) {
for(int i = 0; i < n; i++) {
double sum1 = 0.0, sum2= 0.0;
for(int j = 0; j < (i - 1); j++) {
sum1 += A->data[i][j] * xNew->data[j];
}
for(int j = (i + 1); j < n; j++) {
sum2 += A->data[i][j] * x->data[j];
}
xNew->data[i] = (1/A->data[i][i]) * (b->data[i] - sum1 - sum2);
}
for(int i = 0; i < n; i++) {
x->data[i] = xNew->data[i];
}
}
Can somebody please tell me how my code differs from the Gauss-Seidel formula?


