It is easy to see that $a_n\geq 1$ for every positive integer $n$, and the equality holds if and only if $n=1$. Note that
$$a_n^2=\left(a_{n-1}+\frac{1}{a_{n-1}}\right)^2=a_{n-1}^2+2+\frac{1}{a_{n-1}^2}$$
for each integer $n\geq 2$. Since $0< \dfrac{1}{a_{n-1}^2}\leq 1$, we obtain
$$a_{n-1}^2+2<a_n^2\leq a_{n-1}^2+3\,.$$
This shows that
$$2n-1\leq a_n^2\leq 3n-2$$
for all positive integers $n$. The left-hand side inequality is an equality if and only if $n=1$. The right-hand side inequality is an equality if and only if $n=1$ or $n=2$. In particular,
$$12^2<149<a_{75}^2<223<15^2\,.$$
You can easily show that $12<a_{75}<13$ in the same manner as follows. Since $a_2=2$, we can see that
$$a_n^2\leq a_{n-1}^2+\frac{9}{4}$$
for all integers $n\geq 3$. Ergo, for every integer $n\geq 2$, we have
$$a_n^2\leq \frac{9n-2}{4}\,,$$
with equality condition $n\in\{2,3\}$. Particularly, this shows that
$$a_{75}^2<\frac{673}{4}=168\frac{1}{4}<13^2\,.$$
I believe that
$$\lim_{n\to\infty}\,\frac{a_n}{\sqrt{2n}}=1\,.$$
In fact, this should also be true:
$$\lim_{n\to\infty}\,\big(a_n-\sqrt{2n}\big)=0\,.$$
Oscar Lanzi proved these equalities in another answer. I expect, however, that
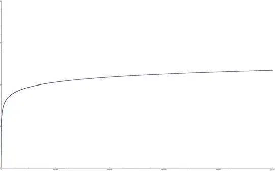
$$a_n=\sqrt{2n}+\mathcal{O}\left(\frac{1}{\sqrt n}\right)\,.$$ Below is the plot of $\sqrt{n}\,\big(a_n-\sqrt{2n}\big)$ versus $n$ ($n$ runs from $1$ to $10^6$). (This conjecture is proven to be wrong by Oscar.)

Perhaps, the conjecture above is not quite correct. Maybe, this is a better claim:
$$a_n=\sqrt{2n}+\mathcal{O}\left(\frac{\ln(n)}{\sqrt n}\right)\,.$$
Below is the plot of $\dfrac{\sqrt{n}}{\ln(n)}\,\big(a_n-\sqrt{2n}\big)$ versus $n$ ($n$ runs from $1$ to $10^6$). It appears from this plot that
$$a_n\approx\sqrt{2n}+\frac{1}{4\sqrt2}\,\left(\frac{\ln(n)}{\sqrt n}\right)+\mathcal{O}\left(\frac1{\sqrt{n}}\right)\,.$$ (This conjecture is proven to be right by Oscar, and the asymptotic behavior above is true regardless of the initial value $a_1>0$.) This approximation is quite good (e.g., it says $a_{75}\approx 12.336$, while the actual value is $a_{75}\approx 12.324$).
