We have a quadratic form in the reals.
$$ q(x,y,z) = 2zx + 4yz - 2xy $$
($q$ is in the standard form of $V = R^3$)
We need to find: $(1)$ A base for $V$ in which $q$ is diagonalized. $(2)$ Find a subspace $W$ of $V$ with maximal dimension such that $q(w) \geq 0, \forall w \in W$
I am stuck in undertanding $(2)$.
$(1)$ Using elemtaric congruence we get:
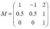
Therefore our change of base matrix is:
Now we can show the base in which $q$ is diagonalaized:
NOW THE PROBLEM STARTS
They choose the subspace: $$ W = Sp \{(-1,0.5,0),(2,1,1)\} $$
Now they say: $$ \forall w \in W: [w]_{B} = (0, \lambda_1, \lambda_2) $$
Therefore: $$ q(w) = -1 \cdot 0^2 + \lambda_1^2 + 4 \lambda_2^2 \geq 0 $$
I dont understand
How did they know to take that subspace?
How $[w]_B = (0, \lambda_1, \lambda_2)$
How did they know?
Thank you.


