I have been searching the Inverse Symbolic Calculator and then the OEIS and came up with this little program by copy pasting parts here and there:
Let $P$ be the polynomial:
$$P = a_n x^n + a_{n-1}x^{n-1} + \dotsb + a_2 x^2 + a_1 x + a_0$$
Then do the series expansion of:
$$\frac{1}{P}$$
at $x = 0$
and name the coefficients $b_1,...,b_\infty$
and take the limiting ratio:
$$x=\lim_{n\to \infty } \, \frac{b_{n-1}}{b_n}$$
For what kind of polynomials is $x$ a real root to the polynomial $P$?
Does it have to do with Lagrange inversion? I don't know Lagrange inversion.
(*Mathematica program*)
Clear[x, b];
polynomial = (1 - 2 x + 3*x^2 - 5 x^3 + 7 x^4 - 11 x^5);
digits = 100;
nn = 4000;
b = CoefficientList[Series[1/polynomial, {x, 0, nn}], x] ;
nn = Length[b];
x = N[Table[b[[n - 1]]/b[[n]], {n, nn - 8, nn - 1}], digits]
polynomial
Edit 12.7.2020:
Appears to work for zeta zeros:
(*start*)
Clear[t, b, n, k, nn, x];
"z is the parameter to vary"
z = 16
digits = 40;
polynomial = Normal[Series[Zeta[(x + z*N[I, digits])], {x, 0, 50}]];
nn = 200;
b = CoefficientList[Series[1/polynomial, {x, 0, nn}], x];
x = z*I + N[b[[nn - 1]]/b[[nn]], digits]
(*end*)
Input z = 16 gives
output:
x=0.500000000000000000000000 + 14.134725141734693790457252*I
Mathematica program for plot of Imaginary and Real part of Riemann zeta zeros:
(*start apparently equivalent to Newton Raphson*)cons = 10;
ww = 400;
div = 10;
real = 0;
Monitor[TableForm[zz = Table[Clear[t, b, n, k, nn, x];
z = N[cons + w/div, 20];
polynomial =
Normal[Series[Zeta[(real + x + z*N[I, 20])], {x, 0, 10}]];
digits = 20;
b = With[{nn = 20},
CoefficientList[Series[1/polynomial, {x, 0, nn}], x]];
nn = Length[b] - 1;
x = z*I + N[b[[nn - 1]]/b[[nn]], digits], {w, 0, ww}]];, w]
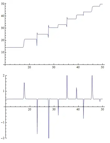
g1 = ListLinePlot[Flatten[Im[zz]], DataRange -> {cons, cons + ww/div}]
g2 = ListLinePlot[Flatten[Re[zz]], DataRange -> {cons, cons + ww/div},
PlotRange -> {-2, 2}]
zz
(*end apparently equivalent to Newton Raphson*)
From the plot above we see that the staircase takes the values of the imaginary parts of the Riemann zeta zeros, and that the lower plot takes the value $\frac{1}{2}$ which is the real part of the Riemann zeta zeros, except at what appears to be Gram points where there are singularities.
One can see that this appears to be true regardless of the value 'real' in the program, as long as 'real' is between $0$ and $1$.
The recurrence pointed out by Conrad:
Clear[f, n, k, a];
a = {1, -1, -2, 0, 0, 0, 0, 0, 0, 0, 0, 0, 0, 0, 0, 0, 0, 0, 0, 0};
f[0] = 1;
f[n_] := -Sum[f[k]*Binomial[n, k]*a[[n - k + 1]], {k, 0, n - 1}]
Table[f[n - 1]/(n - 1)!, {n, 1, 14}]
Taken from Daniel Suteu's comment: https://oeis.org/A132096
Clear[f, n, k, a, b];
f[0] = 1;
f[n_] := -Sum[ff[k]*bin[n, k]*a[n - k + 1], {k, 0, n - 1}]
TableForm[Table[f[n - 1], {n, 1, 10}]]
$$\begin{array}{l} 1 \\ -a[2] b[1,0] \text{ff}[0] \\ -a[3] b[2,0] \text{ff}[0]-a[2] b[2,1] \text{ff}[1] \\ -a[4] b[3,0] \text{ff}[0]-a[3] b[3,1] \text{ff}[1]-a[2] b[3,2] \text{ff}[2] \\ -a[5] b[4,0] \text{ff}[0]-a[4] b[4,1] \text{ff}[1]-a[3] b[4,2] \text{ff}[2]-a[2] b[4,3] \text{ff}[3] \\ -a[6] b[5,0] \text{ff}[0]-a[5] b[5,1] \text{ff}[1]-a[4] b[5,2] \text{ff}[2]-a[3] b[5,3] \text{ff}[3]-a[2] b[5,4] \text{ff}[4] \end{array}$$
$b$ stands for binomial $a$ is the sequence of coefficients multiplied with the factorials.
