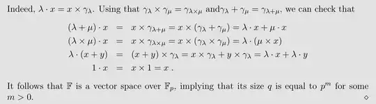
I'm reading a theorem about the order of a finite field:
Here is the proof:
At the end, the author said
It follows that $\mathbb{F}$ is a vector space over $\mathbb{F}_{p}$, implying that its size $q$ is equal to $p^{m}$ for some $m>0$.
I do not understand how $\mathbb{F}$ is a vector space over $\mathbb{F}_{p}$ implies that its size $q$ is equal to $p^{m}$. Could you please elaborate on it?


