I've been stuck on this for a couple of days. So this is from this book ("Partial Differential Equations in Mechanics 1", page 125).
Section 4.2 Reduction to canonical forms, which leads to the development of the Laplace equation.
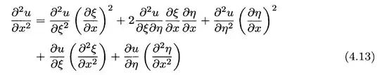
In this section, I don't understand how they expand the second-order partial derivative:
Where,
Here is what I got so far. When I do it, I only get to have 4 terms, and not 5 like what's in the book. Here I apply product rule first and then the chain rule (Note, I'm using square brackets to indicate that I am taking the partial derivative of whatever is in them. Just to keep it organized).
$$\begin{align} \frac{\partial}{\partial x}\frac{\partial u}{\partial x} &= \\ &= \frac{\partial}{\partial x} \biggl( \frac{\partial u}{\partial \xi} \frac{\partial \xi}{\partial x} + \frac{\partial u}{\partial \eta} \frac{\partial \eta}{\partial x} \biggr) \\ &=\frac{\partial}{\partial x} \biggl( \frac{\partial u}{\partial \xi} \frac{\partial \xi}{\partial x}\biggr) + \frac{\partial}{\partial x} \biggl(\frac{\partial u}{\partial \eta} \frac{\partial \eta}{\partial x} \biggr) \\ &= \frac{\partial}{\partial x} \biggl[ \frac{\partial u}{\partial \xi} \biggr] \frac{\partial \xi}{\partial x} + \frac{\partial u}{\partial \xi} \frac{\partial}{\partial x} \biggl[ \frac{\partial \xi}{\partial x} \biggr] + \frac{\partial}{\partial x} \biggl[ \frac{\partial u}{\partial \eta} \biggr] \frac{\partial \eta}{\partial x} + \frac{\partial u}{\partial \eta} \frac{\partial}{\partial x} \biggl[ \frac{\partial \eta}{\partial x} \biggr] \\ \text{Now the chain rule:}\\ &= \frac{\partial}{\partial \xi}\biggl[\frac{\partial u}{\partial \xi}\biggr] \frac{\partial \xi}{\partial x} \frac{\partial \xi}{\partial x} + \frac{\partial u}{\partial \xi} \frac{\partial^2 \xi}{\partial x^2} + \frac{\partial}{\partial \eta}\biggl[\frac{\partial u}{\partial \eta}\biggr] \frac{\partial \eta}{\partial x} \frac{\partial \eta}{\partial x} + \frac{\partial u}{\partial \eta} \frac{\partial^2 \eta}{\partial x^2} \\ &=\frac{\partial^2 u}{\partial \xi^2} \biggl(\frac{\partial \xi}{\partial x} \biggr)^2 + \frac{\partial u}{\partial \xi} \frac{\partial^2 \xi}{\partial x^2} + \frac{\partial^2 u}{\partial \eta^2} \biggl(\frac{\partial \eta}{\partial x} \biggr)^2 + \frac{\partial u}{\partial \eta} \frac{\partial^2 \eta}{\partial x^2} \end{align} $$ My tree of the chain rule looks like this (is it correct?)
In addition, if someone could explain why this chain rule is valid? Granted, this may be a whole topic on its own, so if you could just point to some resource or what this particular operation is called, that would do.
$$ \frac{\partial}{\partial x}\biggl[ \frac{\partial u}{\partial \xi} \biggr] = \frac{\partial}{\partial \xi} \biggl[\frac{\partial u}{\partial \xi}\biggr]\frac{\partial \xi}{\partial x} $$
Thank you in advance.
UPDATE:
(as per answer by @peek-a-boo)
P.S. Corrections or edits are welcomed.




