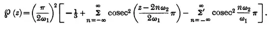
This formula was shown in A Course in Modern Analysis - Whittaker, Watson as an exercise
How could this be proven? My guess is that it involves summing the partial fraction version of $\wp$ over all multiples of $\omega_1$.
This formula was shown in A Course in Modern Analysis - Whittaker, Watson as an exercise
How could this be proven? My guess is that it involves summing the partial fraction version of $\wp$ over all multiples of $\omega_1$.