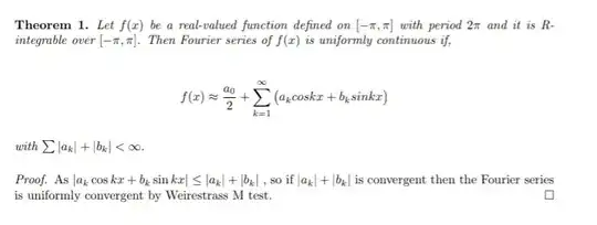
In the above proof, I have understood why the Fourier series is uniformly convergent. But how does that imply uniform continuity which is required to prove ?
Asked
Active
Viewed 147 times
1 Answers
0
Because the Uniform Limit Theorem also holds if you replace continuity by uniform continuity, proving each element of the series is uniformly continuous also proves that the limit is uniformly continuous as well (assuming uniform convergence).
I suppose the author assumes each element of Fourier series is uniformly continuous.
gt6989b
- 54,422
