1

I'm struggling with verifying inequalities through the use of induction and wanted some guidance on the matter. I asked a question previous to this one that's similar, but this problem is different and aims at clarifying the rest of my confusion.

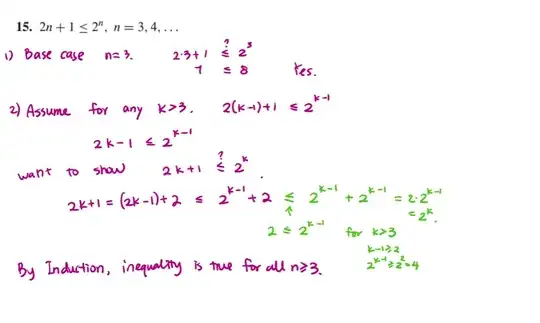
The problem is this: verify the inequality $2n+1 \le 2^n$ for $n = 3,4...$

I have a screenshot of the problem along with my professor's solution, but I am not understanding her solution at all.

I understand that induction with inequalities works by this process: let the left side of the inequality you are trying to prove be A. let the left side of the inductive hypothesis be B, and the right side be C. Since you know B<C with your hypothesis, you have to show A<B is true. If it is, you can conclude A<C.

How can this be done with this problem?

enter image description here

Arnaldo
  • 21,342

5 Answers5

2

You can find many discussion on induction here on MSE.

The key point of the proof by induction is that

  1. By base case we need to find $k_0\in \mathbb N$ such that $P(k_0)$ holds
  2. By induction step we need to prove that $P(k-1) \, \text{holds} \implies P(k)\, \text{holds}$ for all $k-1\ge k_0$

then using the two results we can conclude that $P(k_0)$ holds, $P(k_0+1)$ holds, $P(k_0+2)$ holds and so on, that is $P(n)$ holds for any $n\ge k_0$.

In your example we have

  1. Base case: $k_0=3 \implies 7=2\cdot 3+1 \le 2^3=8$

  2. Induction step: we assume true by hypotesis that $2k-1\le 2^{k-1}$ and we need to prove that from this we can deduce that $2k+1\le 2^{k}$ for any $k-1\ge 3$. We proceed as follows

$$2k+1=(2k-1)+2 \stackrel{\color{red}{Ind. Hyp.}}\le 2^{k-1}+2 \quad \stackrel{\color{red}{2<2^{k-1}\, k-1\ge 3}} \le \quad 2^{k-1}+2^{k-1}=2\cdot 2^{k-1}=2^k$$

that is

$$2k+1\le 2^k$$

which complete the proof.

Refer also to the related

user
  • 154,566
2

Your proof looks fine to me.

  • For $n=3$ the statement holds: $2\cdot 3+1=7<2^3=8$

  • Suppose that $n\geq 3$ and the statement holds for $n$. Then, for $n+1$ $$ \begin{align} 2(n+1)+1=(2n+1) +2&\leq 2^n+2\\ &\leq 2^n+2^n=2^{n+1} \end{align} $$

This means that the statement holds for any $n\geq 3$ (valid for $3$, then as $3\geq 3$ stament valid for $3+1=4$; statement valid for $4$ and $4\geq 3$, so statement valid for $4+1=5$; and so on and so forth.)

The key here is to use the fact that if $a\leq b$, then for any real number $c$ $$ a+c \leq b+c$$

In the problem a hand, $2\leq 2^n$ for $n\geq 3$ and so $2^n+2\leq 2^n+2^n$.

Mittens
  • 39,145
2

In problems where you are asked to prove some statement for all natural numbers greater than some minimum natural number $M$, the most logical way to go about it is to

  • prove it for each natural number that is greater than $M$, and for a single natural number $n$, it is easy to do, just plug in the value of $n$ on both sides and you can verify if the statement is true or not.
  • but there are infinitely many of them, and it would be infeasible to try to prove the statement for all natural numbers
  • so you try to come up with a magical way of concluding the statement for the successor of $n$ (i.e. the number after $n$, i.e. $n+1$) if you already know the statement to be true for $n$.
  • using that magical way then, if only you could verify the statement to be true for a small value of $n$ (what's the smallest value of $n$ you could take here? it's $3$), you could conclude it for $n+1$, the successor of $n$ (i.e. $4$), since now you know it for $n=4$, using the magical way you can conclude it for the successor of $4$, which is $5$.
  • Thus the magical way combined with the knowledge that the statement is true for some value of $n$, which you can verify by the method mentioned in the first point, i.e. by plugging in a value of $n$, will prove it like a sequence of dominoes falling one upon another, as using the magical way, the statement is $true\ for\ n=3\stackrel{magical way}{\implies} \ true \ for\ n=4\stackrel{magical way}{\implies} \ true \ for\ n=5\implies\cdots$ thus proving the statement for all natural numbers $>M$

Now, all you have to do is check the $4^{th}$ bullet as $$2.3+1\le 2^3 \ i.e. \ 7\le 8 $$ which is of course true.

And the magical way is the path of induction, i.e. assume the statement to be true for $n=k$ where $k\ge 3$ (as given in the problem), then you have $$Induction\ hypothesis:\ 2k+1\le 2^k$$ and you have to reach $$Goal: \ 2(k+1)+1\le 2^{k+1}$$ Now, to reach the Goal from the Induction Hypothesis, you can try to make the LHS of the latter look like the LHS of the former by doing valid mathematical operations (which is precisely what @Riemann'sPointyNose has done),
or
you could try to make the RHS of the latter look like the RHS of the former, which if we proceed, goes as $$Induction\ Hypothesis:\ 2k+1\le 2^k \\ \text{multiply both sides by $2$ to make the RHSs look same} \\ \implies 2(2k+1)\le 2.2^k=2^{k+1} \\ \implies 2^{k+1} \ge 4k+2 = 2k+2k+2 \ge 2k+3 \\ (\text{last step is justified as }\\ \text{$k\ge 3 \implies 2k\ge 6\implies 2k+2\ge 8\ge 3 \implies 2k+2k+2\ge 2k+3$})\\ \text{and from the last step }, 2^{k+1}\ge 2k+3 =2k+2+1=2(k+1)+1\\ \implies 2(k+1)+1 \le 2^{k+1}$$ which proves the statement for the successor of $k$, i.e. $k+1$. Thus our magical way is nothing but a sequence of valid mathematical operations that proves the statement for a natural number $k+1$ if the statement is already known to be true for it's predecessor, i.e. $k$.

Fawkes4494d3
  • 2,984
1

I understand that induction with inequalities works by this process: let the left side of the inequality you are trying to prove be A. let the left side of the inductive hypothesis be B, and the right side be C. Since you know B<C with your hypothesis, you have to show A<B is true. If it is, you can conclude A<C.

I don't recommend trying to apply this in general to inductive proofs of inequalities, as its assumptions about how the inequalities will chain together fail in general. Instead, always note which inference of the form $P(k)\to P(k+1)$ has to be proven valid. For this problem, you have to show that if $2k+1\le 2^k$ with $k\ge3$ then $2k+3\le 2^{k+1}$. A variant on the screenshot technique is to explain the first $\le$ in $2k+3\le 2(2k+1)\le 2(2^k)=2^{k+1}$ (the other one follows from the inductive hypothesis).

You have to improvise with each problem, but typically there's some order-preserving function hh such that in wanting to go from $f(k)\le g(k)$ to $f(k+1)\le g(k+1)$ you can use$$f(k+1)\le h(f(k),k)\le h(g(k),k)\le g(k+1)f(k+1),$$or a variant where $<$ or $=$ replaces some or all $\le$s. Your approach does this with $h(u,k)=u+2$, so the first $\le$ becomes $=$; mine does it with $h(u,k)=2u$, so the last $\le$ becomes $=$.

J.G.
  • 115,835
  • I kind of see what you're saying, but I don't understand how to logically go about inequality proofs then. I genuinely just don't understand where I'm supposed to even start on this problem. – Isabelle Kreienbrink Sep 14 '20 at 20:46
  • @IsabelleKreienbrink I've converted my original reply by comment into an expansion of my answer. – J.G. Sep 14 '20 at 20:58
1

So... the idea of induction is that you have a series of statements, and you prove all of these statements by relating them to each other. In this case, we will refer to the series of statements by ${\mathbb{P}(n)}$. So:

$${\mathbb{P}(3) := 2(3) + 1 \leq 2^{3}}$$

$${\mathbb{P}(4) := 2(4) + 1 \leq 2^{4}}$$

$${...}$$

$${\mathbb{P}(n):= 2(n) + 1 \leq 2^n}$$

The idea is that if we can show that if ${\mathbb{P(n)}}$ being true implies that ${\mathbb{P}(n+1)}$ is true, and show that ${\mathbb{P}(3)}$ is true... we will have that ${\mathbb{P}(4)}$ is also true, and ${\mathbb{P}(5)}$ and ${\mathbb{P}(6)}$... etc etc. This is exactly what your teacher did. They showed the base case of ${n=3}$ was true (i.e. they showed ${2(3) + 1 \leq 2^3}$), and then they showed if the statement was true for ${k-1}$, it must also be true for ${(k-1)+1=k}$:

$${\mathbb{P}(k-1):=2(k-1)+1\leq 2^{k-1}}$$

which is the same as saying

$${\mathbb{P}(k-1):=2k-1\leq 2^{k-1}}$$

we are assuming this is true. Then, by adding two on both sides, they get

$${2k-1+2\leq 2^{k-1} + 2}$$

and since ${2\leq 2^{k-1}}$ for any ${k>3}$, we get

$${2k-1+2\leq 2^{k-1} + 2^{k-1} = 2\times 2^{k-1}=2^k}$$

In other words, it implies

$${2k + 1 \leq 2^{k}}$$

which is ${\mathbb{P}(k)!}$. In other words, ${\mathbb{P}(k-1)}$ directly implies ${\mathbb{P}(k)}$. Since ${k}$ was arbitrary, and we showed the base case - we have it must be true for all ${n\geq 3}$. If any part of this is unclear, let me know and I will explain further.