I quote Kuo (2006):
Let $C$ be the Banach space of real-valued continuous functions $\omega$ on $[0,1]$ with $\omega(0)=0$.
A cylindrical subset $A$ of $C$ is a set of the form $$A=\{\omega\in C: (\omega(t_1),\omega(t_2),\ldots,\omega(t_n))\in U\}\tag{1}$$ where $0<t_1<t_2<\ldots<t_n\leq 1$ and $U\in\mathcal{B}(\mathbb{R}^n)$, the Borel $\sigma$-field.
Let $\mathcal{R}$ be the collection of all cylindrical subsets of $C$. Obviously, $\mathcal{R}$ is a field. However, it is not a $\sigma$-field.
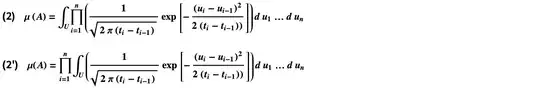
Suppose $A\in\mathcal{R}$ is given by $(1)$. Define $\mu(A)$ by $$\mu(A)=\displaystyle{\int_U \prod_{i=1}^n}\bigg(\frac{1}{\sqrt{2\pi(t_i-t_{i-1})}}\exp\bigg[-\frac{(u_i-u_{i-1})^2}{2(t_i-t_{i-1}))}\bigg]\bigg)du_1\ldots du_n\tag{2}$$ where $t_0=u_0=0$
Theorem: The stochastic process $B(t,\omega)=\omega(t), 0\leq t\leq 1, \omega\in C,\text{ }$ is a Brownian motion
Well, as the above theorem, I am struggling to show independence of increments, in the mutual sense, not just pairwise (as required by definition), namely that $$B(t_1), B(t_2)-B(t_1),\ldots, B(t_n)-B(t_{n-1})\text{ are independent}$$ And this would be true if one showed that: $$\begin{split}\mu\{B(t_1)\leq a_1, B(t_2)-B(t_1)\leq a_2,\ldots, B(t_i)-B(t_{i-1})\leq a_i\}=\\=\mu\{B(t_1)\leq a_1\}\mu\{B(t_2)-B(t_1)\leq a_2\}\cdots\mu\{B(t_i)-B(t_{i-1})\leq a_i\}\end{split}\tag{3}$$ for $i=\{1,\ldots,n\}$.
I was trying to show $(3)$ by induction.
$(3)$ clearly holds true for $n=1$. Suppose now it holds true for $i=(n-1)$, so I have to show that it holds true for $i=n$ as well. So, starting point is:
$$\begin{split}\mu\{B(t_1)\leq a_1, B(t_2)-B(t_1)\leq a_2,\ldots, B(t_{n-1})-B(t_{n-2})\leq a_{n-1}\}=\\=\mu\{B(t_1)\leq a_1\}\mu\{B(t_2)-B(t_1)\leq a_2\}\cdots\mu\{B(t_{n-1})-B(t_{n-2})\leq a_{n-1}\}\end{split}\tag{4}$$
and I have to get to:
$$\begin{split}\mu\{B(t_1)\leq a_1, B(t_2)-B(t_1)\leq a_2,\ldots, B(t_{n})-B(t_{n-1})\leq a_{n}\}=\\=\mu\{B(t_1)\leq a_1\}\mu\{B(t_2)-B(t_1)\leq a_2\}\cdots\mu\{B(t_{n})-B(t_{n-1})\leq a_{n}\}\end{split}\tag{5}$$
Is there any good way to pass from $(4)$ to $(5)$ relying on definition $(2)$?
