2

The Hurwitz Zeta function admits a very simple integral representation that can easely be obtained as following. Starting from the definition of the Hurwitz Zeta function.

$$\zeta(s,a)=\sum_{k=0}^{\infty} \frac{1}{\left(k+a\right)^{s}}$$

multiplying both sides of the above equation by $\Gamma(s)$

$$\Gamma(s)\zeta(s,a)=\sum_{k=0}^{\infty} \frac{1}{\left(k+a\right)^{s}}\int_{0}^{\infty}t^{s-1}e^{-t}dt$$

substituting $t\mapsto(k+a)t$

$$\Gamma(s)\zeta(s,a)=\sum_{k=0}^{\infty} \int_{0}^{\infty}t^{s-1}e^{-t(k+a)}dt$$

$$\Gamma(s)\zeta(s,a)= \int_{0}^{\infty}t^{s-1}e^{-ta}\sum_{k=0}^{\infty}e^{-kt}dt$$

Finally arraiving at:

$$\zeta(s,a)=\frac{1}{\Gamma(s)} \int_{0}^{\infty}\frac{t^{s-1}e^{-ta}}{1-e^{-t}}dt$$

which can be verified here

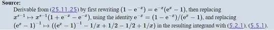
My question is the folowing, starting from the above integral representation,how can I get the following expression:

$$\zeta(s,a)=\frac{1}{2}a^{-s}+\frac{a^{1-s}}{s-1}+\frac{1}{\Gamma(s)} \int_{0}^{\infty}\left(\frac{1}{e^{t}-1}-\frac{1}{t}+\frac{1}{2}\right)\frac{t^{s-1}}{e^{at}}dt$$

It appears in the same source, and says that it´s derivable from the first expression, and even gives some hints.

enter image description here

Folowing the hints I got

$$\zeta(s,a)=\frac{1}{\Gamma(s)} \int_{0}^{\infty}\frac{t^{s-1}e^{-ta}}{1-e^{-t}}dt=\frac{1}{\Gamma(s)} \int_{0}^{\infty}\frac{t^{s-1}e^{-ta}}{e^{-t}(e^{t}-1)}dt$$

$$\zeta(s,a)=\frac{1}{\Gamma(s)} \int_{0}^{\infty}\frac{(1+e^{-t}-e^{-t})}{e^{-t}(e^{t}-1)}\frac{t^{s-1}}{e^{ta}}dt$$

$$\zeta(s,a)=\frac{1}{\Gamma(s)} \int_{0}^{\infty}\frac{e^{t}}{(e^{t}-1)}\frac{t^{s-1}}{e^{ta}}dt+\frac{1}{\Gamma(s)} \int_{0}^{\infty}\frac{1}{(e^{t}-1)}\frac{t^{s-1}}{e^{ta}}dt-\frac{1}{\Gamma(s)} \int_{0}^{\infty}\frac{1}{(e^{t}-1)}\frac{t^{s-1}}{e^{ta}}dt$$

However, from this point on I got stuck. I appreciate if someone could show me how to complete the proof.

Ricardo770
  • 2,761
  • Why do you remove your "accept" to my answer? I don't see any good reason, it isn't very friendly and the software doesn't like questions without accepted answers – reuns Apr 22 '21 at 02:36
  • I'm sorry, I did it by mistake. I put it back. However, if you note carefully, the sign of $\frac{1}{2}$ inside the integral should be positive according to the question. Your answer gives a negative sign. The answer I provided later is the correct one. – Ricardo770 Apr 22 '21 at 08:34

2 Answers2

2

From $$\int_0^\infty e^{-at} t^{s-1-k}dt =\int_0^\infty e^{-x} (x/a)^{s-1-k}d(x/a)= a^{k-s} \Gamma(s-k)= a^{k-s} \Gamma(s-k+1)/(s-k)$$

you get $$\zeta(s,a)=\frac{1}{2}a^{-s}+\frac{a^{1-s}}{s-1}+\frac{1}{\Gamma(s)} \int_{0}^{\infty}\left(\frac{1}{1-e^{-t}}-\frac{1}{t}-\frac{1}{2}\right)\frac{t^{s-1}}{e^{at}}dt$$ for $\Re(s) > 1$ and by analytic continuation it stays true for $\Re(s) > -1$.

reuns
  • 77,999
  • thank you for your answer. But I missed how you got from the gamma to the zeta, can you provide more details? – Ricardo770 Oct 16 '20 at 16:35
  • I knew there was a typo in the formula. Should be ok now. You don't need more details, it is the definition of $\Gamma(s)$ plus a change of variable and some analytic continuation. – reuns Oct 16 '20 at 16:48
  • Thank you, I got it now – Ricardo770 Oct 16 '20 at 17:15
1

I finally got the right answer following carefully the instructions provided by the author of the chapter the great Tom M. Apostol.

Starting from

$$\zeta(s,a)= \frac{1}{\Gamma(s)}\int_{0}^{\infty}\frac{x^{s-1}e^{-ax}}{1-e^{-x}}dx $$

rewriting as

$$\begin{aligned} \zeta(s,a)&= \frac{1}{\Gamma(s)}\int_{0}^{\infty}\frac{x^{s-1}e^{-ax}}{e^{-x}(e^{x}-1)}dx \\ &= \frac{1}{\Gamma(s)}\int_{0}^{\infty}\frac{x^{s-1}e^{-ax}}{e^{-x}(e^{x}-1)}dx \\ &=\frac{1}{\Gamma(s)}\int_{0}^{\infty}x^{s-1}e^{-ax}e^{x}(e^x-1)^{-1}dx\\&=\frac{1}{\Gamma(s)}\int_{0}^{\infty}x^{s-1}e^{-ax}e^{x}\left((e^x-1)^{-1}-\frac{1}{x}+\frac{1}{2}-\frac{1}{2}-\frac{1}{x}\right)dx\\&=\frac{1}{\Gamma(s)}\int_{0}^{\infty}x^{s-1}(1+e^{-x}-e^{-x})e^{-ax}e^{x}\left((e^x-1)^{-1}-\frac{1}{x}+\frac{1}{2}-\frac{1}{2}-\frac{1}{x}\right)dx\\&=\frac{1}{\Gamma(s)}\int_{0}^{\infty}(e^{x}+1-1)\left((e^x-1)^{-1}-\frac{1}{x}+\frac{1}{2}-\frac{1}{2}-\frac{1}{x}\right)\frac{x^{s-1}}{e^{ax}}dx \end{aligned}$$

Now I´ll break down the last integral into three integrals

$$\zeta(s,a)=\frac{1}{\Gamma(s)}\int_{0}^{\infty}e^{x}\left((e^x-1)^{-1}-\frac{1}{x}+\frac{1}{2}-\frac{1}{2}-\frac{1}{x}\right)\frac{x^{s-1}}{e^{ax}}dx+\frac{1}{\Gamma(s)}\int_{0}^{\infty}\left((e^x-1)^{-1}-\frac{1}{x}+\frac{1}{2}-\frac{1}{2}-\frac{1}{x}\right)\frac{x^{s-1}}{e^{ax}}-\frac{1}{\Gamma(s)}\int_{0}^{\infty}\left((e^x-1)^{-1}-\frac{1}{x}+\frac{1}{2}-\frac{1}{2}-\frac{1}{x}\right)\frac{x^{s-1}}{e^{ax}}$$

which is equal to

$$\begin{align} &\zeta(s,a)=\frac{1}{\Gamma(s)}\int_{0}^{\infty}\frac{x^{s-1}e^{-ax}}{1-e^{-x}}dx+\frac{1}{\Gamma(s)}\int_{0}^{\infty}\left((e^x-1)^{-1}-\frac{1}{x}+\frac{1}{2}-\frac{1}{2}-\frac{1}{x}\right)\frac{x^{s-1}}{e^{ax}}\\&-\frac{1}{\Gamma(s)}\int_{0}^{\infty}\frac{x^{s-1}e^{-(1+a)x}}{1-e^{-x}}dx \end{align}$$

We can recognize the first and the last integrals as Hurwitz zeta functions of $\zeta(s,a)$ and $\zeta(s,a+1)$ respectively and using the functional function of the Hurwitz Zeta Function

$$\zeta(s,a+1)=\zeta(s,a)-a^{-s}$$

we get

$$\zeta(s,a)=\zeta(s,a)-\zeta(s,a)+a^{-s}+ \frac{1}{\Gamma(s)}\int_{0}^{\infty}\left((e^x-1)^{-1}-\frac{1}{x}+\frac{1}{2}-\frac{1}{2}-\frac{1}{x}\right)\frac{x^{s-1}}{e^{ax}}$$

$$\zeta(s,a)=a^{-s}+ \frac{1}{\Gamma(s)}\int_{0}^{\infty}\left((e^x-1)^{-1}-\frac{1}{x}+\frac{1}{2}-\frac{1}{2}-\frac{1}{x}\right)\frac{x^{s-1}}{e^{ax}}$$

Breaking down the remaining integral into three integrals we get

$$\zeta(s,a)=a^{-s}-\frac{1}{2}\frac{1}{\Gamma(s)}\int_{0}^{\infty}x^{s-1}e^{-ax}dx+\frac{1}{\Gamma(s)}\int_{0}^{\infty}x^{s-2}e^{-ax}dx+ \frac{1}{\Gamma(s)}\int_{0}^{\infty}\left(\frac{1}{(e^x-1)}-\frac{1}{x}+\frac{1}{2}\right)\frac{x^{s-1}}{e^{ax}}$$

The first and second integrals can be rewriten as Gamma functions and the third one is the integral we are looking for, therefore we get

$$\zeta(s,a)=a^{-s}-\frac{1}{2}\frac{1}{\Gamma(s)}\frac{\Gamma(s)}{a^s}+\frac{1}{\Gamma(s)}\frac{\Gamma(s)a^{1-s}}{s-1}+ \frac{1}{\Gamma(s)}\int_{0}^{\infty}\left(\frac{1}{(e^x-1)}-\frac{1}{x}+\frac{1}{2}\right)\frac{x^{s-1}}{e^{ax}}$$

simplifying we finally get the result

$$\boxed{\zeta(s,a)=\frac{1}{2}a^{-s}+\frac{a^{1-s}}{s-1}+ \frac{1}{\Gamma(s)}\int_{0}^{\infty}\left(\frac{1}{(e^x-1)}-\frac{1}{x}+\frac{1}{2}\right)\frac{x^{s-1}}{e^{ax}}}$$

Ricardo770
  • 2,761