$\color{brown}{\textbf{The task statement.}}$
By the symmetry, such integrals can be calculated via integrals over the hyper-octant, i.e. in the forms of
$$M_n = E\big(\|G\|_2\big) = \left(\dfrac2\pi\right)^{\large\frac n2} \int\limits_0^\infty\int\limits_0^\infty\dots\int\limits_0^\infty\int\limits_0^\infty r\, e^{^{\large-\frac12r^2}}\,\text dx_1\,\text dx_2\dots\text dx_{n-1}\text dx_n,\tag1$$
$$I_n = E\big(\|G\|_\infty\big) = \left(\dfrac2\pi\right)^{\large\frac n2} \int\limits_0^\infty\int\limits_0^\infty\dots\int\limits_0^\infty\int\limits_0^\infty \max\limits_{j=1\dots n}\{x_j\}\, e^{^{\large-\frac12r^2}}\,\text dx_1\,\text dx_2\dots\text dx_{n-1}\text dx_n,$$
$$I_n = n!\left(\dfrac2\pi\right)^{\large\frac n2} \int\limits_0^\infty\int\limits_0^\infty\dots\int\limits_0^\infty\int\limits_0^\infty \prod\limits_{j=2\dots n}h(x_{j-1}-x_j) x_1\, e^{^{\large-\frac12r^2}}\,\text dx_1\,\text dx_2\dots\text dx_{n-1}\text dx_n,\tag{2}$$
where $\;h(t)\;$ is the Heaviside transition function.
$\color{brown}{\textbf{The hyperspherical coordinate system.}}$
In the hyperspherical coordinate system
\begin{cases}
x_n=r\cos\varphi_{n-1}\\
x_{n-1} = r\sin\varphi_{n-1}\cos\varphi_{n-2}\\
\dots\\
x_{2} = r\sin\varphi_{n-1}\dots\sin\varphi_{2}\cos\varphi_{1}\\
x_{1} = r\sin\varphi_{n-1}\dots\sin\varphi_{2}\sin\varphi_{1},\tag3
\end{cases}
or
\begin{cases}
x_1=rp_1,\quad x_j=rc_{j-1}p_j,\quad x_n=rc_{n-1},\quad c_j =\cos\varphi_{j},\quad s_j=\sin\varphi_j,\\[4pt]
p_j =\sin\varphi_j\sin\varphi_{j+1}\dots\sin\varphi_{n-1}=q_{j,n-1}, \quad
j=1\dots n-1,\\[4pt]
q^\,_{kl} =\sin\varphi_k\sin\varphi_{k+1}\dots\sin\varphi_l,\quad
\\[4pt]
p^\,_{jk}=(p_j)'_{\varphi_k}=q^\,_{j,k-1}\,c_kp^\,_{j+1},\quad k=j\dots n-1.\tag4
\end{cases}
The Jacobian equals to
$$J=\begin{vmatrix}
rp_{11} & rp_{12} & rp_{13} & rp_{14} & \dots & rp_{1,n-1} & p_1\\
-rp_{1} & rc_1p_{22} & rc_1p_{23} & rc_1p_{24} & \dots & rc_1p_{2,n-1} & c_1p_2\\
0 & -rp_{2} & rc_2p_{33} & rc_2p_{34} & \dots & rc_2p_{3,n-1} & c_2p_3\\
0 & 0 & -rp_{3} & rc_3p_{44} & \dots & rc_3p_{4,n-1} & c_3p_4\\
& \dots & & & \dots & & \dots\\
0 & 0 & 0 & 0 & \dots & rc_{n-2}p_{n-1,n-1} & c_{n-2}p_{n-1}\\
0 & 0 & 0 & 0 & \dots & -rp_{n-1} & c_{n-1}\tag5
\end{vmatrix},$$
then
$$J= \dfrac{r^{n-1}}{c_1}\prod\limits_{j=1}^{n-2}p_{j+1}
\begin{vmatrix}
c_1 & s_1c_2& q_{12}c_3 & q_{13}c_4 & \dots & q_{1,n-2}c_{n-1} & p_1\\
-s_1c_1 & c^2_1c_2 & c^2_1s_2c_{3} & c^2_1q_{23}c_4 & \dots & c^2_1q_{2,n-2}c_{n-1} & c_1^2p_2\\
0 & -s_2 & c_2c_3 & c_2s_3c_{4} & \dots & c_2q_{3,n-2}c_{n-1} & c_2p_3\\
0 & 0 & -s_{3} & c_3c_{4} & \dots & c_3q_{4,n-2}c_{n-1} & c_3p_4\\
& \dots & & & \dots & & \dots\\
0 & 0 & 0 & 0 & \dots & c_{n-2}c_{n-1} & c_{n-2}p_{n-1}\\
0 & 0 & 0 & 0 & \dots & -s_{n-1} & c_{n-1}\\
\end{vmatrix}$$
$$= \dfrac{r^{n-1}}{c_1}\prod\limits_{j=1}^{n-2}p_{j+1}
\begin{vmatrix}
c_1 & s_1c_2& q_{12}c_3 & q_{13}c_4 & \dots & q_{1,n-2}c_{n-1} & p_1\\
0 & c_2 & s_2c_{3} & q_{23}c_4 & \dots & q_{2,n-2}c_{n-1} & p_2\\
0 & -s_2 & c_2c_3 & c_2s_3c_{4} & \dots & c_2q_{3,n-2}c_{n-1} & c_2p_3\\
0 & 0 & -s_{3} & c_3c_{4} & \dots & c_3q_{4,n-2}c_{n-1} & c_3p_4\\
& \dots & & & \dots & & \dots\\
0 & 0 & 0 & 0 & \dots & c_{n-2}c_{n-1} & c_{n-2}p_{n-1}\\
0 & 0 & 0 & 0 & \dots & -s_{n-1} & c_{n-1}\\
\end{vmatrix}$$
$$= \dots = r^{n-1}\prod\limits_{j=1}^{n-2}p_{j+1},$$
$$J = r^{n-1}\prod\limits_{j=1}^{n-1}\sin\varphi_j^{j-1}.\tag6$$
$\color{brown}{\textbf{The first integral.}}$
Since
$$A(n)=\int\limits_0^\infty r^n e^{-\frac12r^2}\text dr
= 2^{^{\large\frac{n-1}2}}\Gamma\left(\dfrac{n+1}2\right),\tag7$$

$$\Phi_2(k) = \int\limits_0^{^{\large \frac\pi2}}\,\sin^k\varphi\,\text d\varphi
=\dfrac{\sqrt\pi\, \Gamma\left(\dfrac{k+1}2\right)}{2 \Gamma\left(\dfrac{k+2}2\right)},\tag8$$

then
$$M_n = \left(\dfrac2\pi\right)^{^{\large\frac n2}}A(n)\prod\limits_{k=1}^{n-1}\Phi_2(k-1) = \sqrt2\,\dfrac{\Gamma\left(\dfrac{n+1}2\right)}{\Gamma\left(\dfrac n2\right)}.\tag9$$



$\color{brown}{\mathbf{The\ second\ integral,\ n=1\dots 4.}}$
From $(2),(6)$ should
$$I_1 = \sqrt{\frac2\pi}\,\int\limits_0^\infty xe^{-\frac12x^2}\,\text dx
= \sqrt{\frac2\pi}\,.\tag{10a}$$
$$I_n = {n!}\left(\dfrac2\pi\right)^{^{\large\frac n2}} A(n)\Phi_\infty(n-1),\tag{11}$$
where
$$\Phi_\infty(k) = \int\limits_{\large ^\pi/_4}^{\large^\pi/_2}
\int\limits_{\text{ arccot }c_1}^{\large^\pi/_2}\;\dots
\int\limits_{\text{ arccot }c_{k-1}}^{\large^\pi/_2} s_1s^2_2\dots s^k_k
\,\text d\varphi_k\dots\,\text d\varphi_2\,\text d\varphi_1, \tag{12}$$
$$\text{ arccot }c_j = \arccos\dfrac{c_j}{\sqrt{1+c_j^2}}
= \dfrac12 \arccos\dfrac{c_j^2-1}{c_j^2+1}
= \dfrac12 \arcsin\dfrac{2c_j}{c_j^2+1},\tag{13a}$$
$$\text{ arccot }\dfrac1{\sqrt 2} = \arctan\sqrt 2 = \arccos\dfrac1{\sqrt3} = \dfrac12 \arccos\dfrac13 = \dfrac12 \arcsin\dfrac{2\sqrt2}3,\tag{13b}$$
$$\int \sin^k \varphi \,\text d\varphi =
\begin{cases}
\dfrac{2\varphi-\sin 2\varphi}4\,,\;k=2\\[4pt]
\dfrac{\cos^3\varphi-3\cos\varphi}3\,,\;k=3\\[4pt]
\dfrac{\sin 2\varphi \cos 2\varphi -4\sin 2\varphi+6\varphi}{16}\,,\;k=4.\tag{13c}
\end{cases}
$$
The angle limits should provide the integration over all non-increasing sequences $\;\{x_j\}.$
Then
$$\Phi_\infty(2) = \int\limits_{\large^\pi/_4}^{\large^\pi/_2}\sin\varphi\,\text d\varphi = \dfrac1{\sqrt2},\tag{14b}$$
$$\Phi_\infty(3) = \int\limits_{\large^\pi/_4}^{\large^\pi/_2}
\int\limits_{\text{arccot }c_1}^{\large^\pi/_2}
\sin\varphi_1\sin^2\varphi_2\,\text d\varphi_2\,\text d\varphi_1 \\[4pt] = \int\limits_{\large^\pi/_4}^{\large^\pi/_2}
\dfrac{2\varphi_2 -\sin 2\varphi_2}4
\bigg|_{\text{arccot }c_1}^{\large^\pi/_2}
\sin\varphi_1\,\text d\varphi_1\\[4pt]
= \dfrac12\int\limits_0^{\large^1/_{\sqrt2}}\left(\arctan c_1 + \dfrac {c_1}{1+c_1^2}\right)\,\text dc_1
= \dfrac12 c_1 \arctan c_1\bigg|_0^{\large ^1/{\sqrt2}},$$
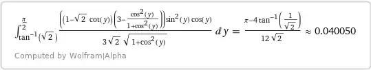
$$\Phi_\infty(3)= \dfrac{\text{ arccot }\sqrt2}{2\sqrt2}\tag{14c}$$
(see also WA result),

$$\Phi_\infty(4) = \int\limits_{\large^\pi/_4}^{\large^\pi/_2}
\int\limits_{\text{arccot }c_1}^{\large^\pi/_2}\;
\int\limits_{\text{arccot }c_2}^{\large^\pi/_2}
\sin\varphi_1\sin^2\varphi_2\sin^3\varphi_3
\,\text d\varphi_3\,\text d\varphi_2\,\text d\varphi_1 \\[4pt]
= \int\limits_{\arctan\sqrt2}^{\large^\pi/_2}
\int\limits_{\large^\pi/_4}^{\arccos\cot\varphi_2}\;
\int\limits_{\text{arccot }c_2}^{\large^\pi/_2}
\sin\varphi_1\sin^2\varphi_2\sin^3\varphi_3
\,\text d\varphi_3\,\text d\varphi_1\,\text d\varphi_2\\[4pt]
= \int\limits_{\arctan\sqrt2}^{\large^\pi/_2}
\left(\dfrac1{\sqrt2}-\cot\varphi_2\right)
\dfrac13\left(\cos^3\varphi_3-3\cos\varphi_3\right)\bigg|_{\large \arccos\frac{\cos\varphi_2}{\sqrt{1+\cos^2\varphi_2}}}^{\large^\pi/_2}
\sin^2\varphi_2 \,\text d\varphi_2\\[4pt]
= \dfrac{\sqrt2}6 \left(\arctan\dfrac{\sin y}{\sqrt{2-\sin^2 y}} - \dfrac{\cos^2 y (\sin y - \sqrt2 \cos y)}{\sqrt{2-\sin^2 y}}\right) \bigg|_{\arctan\sqrt2}^{\large^\pi/_2},$$
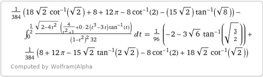
$$\Phi_\infty(4)= \dfrac{\pi - 4\text{ arccot }\sqrt2}{12\sqrt2}
= \dfrac{\text{arccot }(2\sqrt2)}{6\sqrt2}\tag{14d}$$
(see also WA result).

Therefore,
$$I_2 = 2!\cdot\frac2\pi\,A(2)\Phi_\infty(2)
= \frac{4}\pi\cdot\sqrt{\frac\pi2}\,\frac1{\sqrt2} = \frac2{\sqrt\pi},\tag{10b}$$
$$I_3 = 3!\cdot\sqrt{\frac8{\pi^3}}\,A(3)\Phi_\infty(3)
= 12\sqrt{\frac2{\pi^3}}\cdot2\,\dfrac{\text{ arccot }\sqrt2}{2\sqrt2} = \frac{12\text{ arccot }\sqrt2}{\pi\sqrt\pi},\tag{10c}$$
$$I_4 = 4!\cdot\frac4{\pi^2}\,A(4)\Phi_\infty(4)
= \frac{96}{\pi^2}\cdot3\sqrt{\dfrac\pi2}\,\dfrac{\text{arccot }(2\sqrt2)}{6\sqrt2},$$
$$I_4 = \frac{24\text{ arccot }(2\sqrt2)}{\pi\sqrt\pi}.\tag{10d}$$
$\color{brown}{\mathbf{The\ second\ integral,\ n=5.}}$
Taking in account $(13a-c),$ one can get
$$\Phi_\infty(5) = \int\limits_{\large^\pi/_4}^{\large^\pi/_2}
\int\limits_{\text{arccot }c_1}^{\large^\pi/_2}\;
\int\limits_{\text{arccot }c_2}^{\large^\pi/_2}\;
\int\limits_{\text{arccot }c_3}^{\large^\pi/_2}
\sin\varphi_1\sin^2\varphi_2\sin^3\varphi_3\sin^4\varphi_4
\,\text d\varphi_4\,\text d\varphi_3\,\text d\varphi_2\,\text d\varphi_1 \\[4pt]
= \int\limits_{\arctan\sqrt2}^{\large^\pi/_2}
\int\limits_{\large^\pi/_4}^{\arccos\cot\varphi_2}
\int\limits_{\text{arccot }c_2}^{\large^\pi/_2}\quad
\int\limits_{\text{arccot }c_3}^{\large^\pi/_2}
\sin\varphi_1\sin^2\varphi_2\sin^3\varphi_3\sin^4\varphi_4
\,\text d\varphi_4\,\text d\varphi_3\,\text d\varphi_1\,\text d\varphi_2 \\[4pt]
= \int\limits_{\arctan\sqrt2}^{\large^\pi/_2}\quad
\int\limits_{\text{arccot }c_2}^{\large^\pi/_2}\;
\left(\dfrac1{\sqrt2}-\cot\varphi_2\right)
\dfrac1{16}\left(\sin2\varphi_4\cos2\varphi_4 - 4\sin2\varphi_4 + 6\varphi_4\right)\bigg|_{\text{arccot }c_3}^{\large^\pi/_2}\\
\times\sin^2\varphi_2\sin^3\varphi_3
\,\text d\varphi_3\,\text d\varphi_2\\[4pt]
= \int\limits_{\arctan\sqrt2}^{\large^\pi/_2}\quad
\int\limits_{\text{arccot }c_2}^{\large^\pi/_2}\;
\dfrac{\sqrt2\,\sin^2\varphi_2-\sin2\varphi_2}{16}\\
\times\left(3\arctan\cos\varphi_3+\dfrac{4\cos\varphi_3}{1+\cos^2\varphi_3}
+\dfrac{3\cos\varphi_3\sin^2\varphi_3}{(1+\cos^2\varphi_3)^2}\right) \sin^3\varphi_3\,\text d\varphi_3\,\text d\varphi_2\\[4pt]
= \int\limits_{\large^\pi/_3}^{\large^\pi/_2}\quad
\int\limits_{\arctan\sqrt2}^{\arccos\cot\varphi_3}\;
\dfrac{\sqrt2\,\sin^2\varphi_2-\sin2\varphi_2}{16}\\
\times\left(3\arctan\cos\varphi_3+\dfrac{3\cos\varphi_3}{1+\cos^2\varphi_3}
+\dfrac{2\cos\varphi_3}{(1+\cos^2\varphi_3)^2}\right) \sin^3\varphi_3\,\text d\varphi_2\,\text d\varphi_3\\[4pt]
= \dfrac{\sqrt2}{64}\int\limits_{\large^\pi/_3}^{\large^\pi/_2}\quad
\left(2\varphi_2 - \sin 2\varphi_2 + \sqrt2 \cos 2\varphi_2\right)
\bigg|_{\arctan\sqrt2}^{\arccos\cot\varphi_3}\;
\times\left(3\arctan\cos\varphi_3+\dfrac{3\cos\varphi_3}{1+\cos^2\varphi_3}
+\dfrac{2\cos\varphi_3}{(1+\cos^2\varphi_3)^2}\right) \sin^3\varphi_3\,\text d\varphi_3\\[4pt]
= \dfrac{\sqrt2}{32}\int\limits_{\large^\pi/_3}^{\large^\pi/_2}\quad
\left(\sqrt2\cot^2\varphi_3 - \cot\varphi_3 \sqrt{1-\cot^2\varphi_3} + \arccos \cot\varphi_3 -\arctan\sqrt2\right)
\times\left(3\arctan\cos\varphi_3+\dfrac{3\cos\varphi_3}{1+\cos^2\varphi_3}
+\dfrac{2\cos\varphi_3}{(1+\cos^2\varphi_3)^2}\right) \sin^3\varphi_3\,\text d\varphi_3\\[4pt]
= \dfrac{\sqrt2}{64}\int\limits_{\large^\pi/_3}^{\large^\pi/_2}\quad
\left(\sqrt2\cot^2\varphi_3 - \cot\varphi_3 \sqrt{1-\cot^2\varphi_3} + \arccos \cot\varphi_3 -\arctan\sqrt2\right)
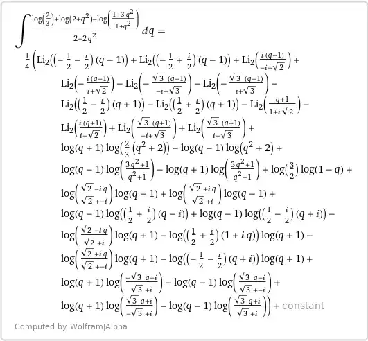
\times\,\text d\left(\cos 2\varphi_3 + 2(\cos^3\varphi_3-3\cos\varphi_3)\arctan\cos\varphi_3+\dfrac{4}{1+\cos^2\varphi_3}\right)$$
(see also WA check),
$$\Phi_\infty(5) \;\overset{\text{IBP}}{=\!=} \;
\dfrac{3\sqrt2 \text{ arccot}\sqrt2}{64} + \dfrac{\sqrt2}{32} \int\limits_{\large^\pi/_3}^{\large^\pi/_2}\quad
\left(\sqrt2\cot\varphi_3 - \sqrt{1-\cot^2\varphi_3}\right)
\times \left(2\cos^2\varphi_3 -1 + 2(\cos^3\varphi_3-3\cos\varphi_3) \arctan\cos\varphi_3+\dfrac{4}{1+\cos^2\varphi_3}\right)\dfrac{\text d\varphi_3}{\sin^2\varphi_3}\\[4pt]
= \dfrac{3\sqrt2 \text{ arccot}\sqrt2}{64} + \dfrac{\sqrt2}{32} \int\limits_0^{\large^1/_2}\quad
\left(\sqrt2c_3 - \sqrt{1-2c^2_3}\right)\\
\times \left(2c^2_3 -1 + 2(c^3_3-3c_3) \arctan c_3+\dfrac{4}{1+c^2_3}\right)\dfrac{\text dc_3}{(1-c^2_3)^2}\\[4pt]
= \dfrac{12\pi + 18\sqrt2 \text{ arccot}\sqrt2 - 8\text{ arccot }2 - 15\sqrt2 \arctan(2\sqrt2) -12\sqrt6 \arctan\sqrt{^3/_2}}{384}\\
- \dfrac{\sqrt2}{16} \int\limits_0^{\large^1/_2}\quad
\sqrt{1-2c^2_3}(c^3_3-3c_3) \arctan c_3
\dfrac{\text dc_3}{(1-c^2_3)^2},
$$

wherein
$$\int\limits_0^{\large^1/_2}\quad
\sqrt{1-2t^2}(t^3_3-3t) \arctan t
\dfrac{\text dt}{(1-t^2)^2}\\[4pt]
\;\overset{\text{IBP}}{=\!=}
-\dfrac{11\sqrt2\text{ arccot }2}{12} + \dfrac18 ((4\sqrt3-\sqrt2)\pi - 2\arctan(2\sqrt2) - 4\sqrt3\arctan(2\sqrt6))
+ \int\limits_0^{\large^1/_2} \dfrac{t(3 t^2-4)\arctan t}{\sqrt{1 - 2 t^2}(1-t^2)}\,\text dt
=-\dfrac{11\sqrt2\text{ arccot }2}{12} + \dfrac14 ((2\sqrt3+\sqrt2)\pi - \arctan(2\sqrt2) - 2\sqrt3\arctan(2\sqrt6))
+ \dfrac34 (\sqrt2 \text{ arccot }2 - 2\sqrt3 \arctan\sqrt{\dfrac32} - \int \limits_0^{\large^1/_2} \dfrac{t \arctan t}{\sqrt{1 - 2 t^2}(1-t^2)}\,\text dt
,$$

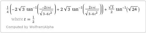
= 

$$- \int\limits_0^{\large^1/_2} \dfrac{t \arctan t}{\sqrt{1 - 2 t^2}(1-t^2)}\,\text dt
= \int\limits_{\large^1/_{\sqrt2}}^1 \dfrac{\arctan\sqrt{\dfrac{1-u^2}2}}
{1+u^2}\,\text du
= \int\limits_{\large^1/_{\sqrt2}}^1 \int\limits_{0}^{\large\sqrt{\frac{1-u^2}2}} \dfrac{\text dv\,\text du}{(1+v^2)(1+u^2)}\\[4pt]
= \int\limits_0^{\text{arccot}\sqrt2} \int\limits_{{\large^1/_{\sqrt2}}\sec\psi}^{\large^1/_{\sqrt{\cos^2\psi + 2\sin^2\psi}}} \dfrac{\rho\,\text d\rho\,\text d\psi}{(1+\rho^2\cos^2\psi)(1+\rho^2\sin^2\psi)}\\[4pt]
=\left|\genfrac{}{}{0}{}{s=\rho^{-2},}{w = 2\psi}\right|
= \int\limits_0^{2\text{ arccot}\sqrt2} \int\limits_{\frac12(3-\cos w)}^{1+\cos w} \dfrac{\text ds\,\text dw}{(1+2s)^2-\cos^2w}\\[4pt]
= \dfrac14\int\limits_0^{2\text{ arccot}\sqrt2} (\ln4 - \ln(4-2\cos w) + \ln(3+\cos w)-\ln(3+3\cos w)) \dfrac{\text dw}{\cos w}\\[4pt]
= \dfrac14\int\limits_0^{2\text{ arccot}\sqrt2} (- \ln(1-\frac12\cos w) + \ln(1+\frac13\cos w)-\ln(1+\cos w)) \dfrac{\text dw}{\cos w}\\[4pt]
=|w=2\arctan q|
=\int\limits_0^{\large^1/_{\sqrt2}} (\ln(1+q^2)+\ln(2+q^2)+\ln 2-\ln(3+q^2)-\ln 3)\dfrac{dq}{2-2q^2}\\[4pt]
=J\left(\dfrac1{\sqrt2}\right)- J(0)\approx 0.05721\,19956\,66783\,53930\,89922\,14090\,04283\,86906\,04
,$$
wherein splitting both of the numerator and the denominator leads to the heavy closed form of the antiderivative $\;J(q),$

Therefore,
$$\Phi_\infty(5)\approx 0.00505\,68737\,62649\,75165\,77798\,44133\,63992\,99350\,04542,\tag{14e}$$
$$I_5 = 5!\cdot\sqrt{\frac{32}{\pi^5}}\,A(5)\Phi_\infty(5)
= 480\sqrt{\frac2{\pi^5}}\cdot8\,\Phi_\infty(5),$$
$$I_5\approx 1.56983\,37172\,15214\,46376\,24670\,41826\,20871\,99091.\tag{10e}$$