I know that from ZF we can construct some sets in a beautiful form obtaining the desired properties that we expect to have these sets. In ZF all is a set (including numbers, elements, functions, relations, etc...).
For example we can define a copy of $\mathbb{N}$, using the empty set axiom and others, called sometimes $\omega$ and defining,
\begin{align} 0_\mathbb{N}&=\{\}\\ 1_\mathbb{N}&=\{\{\}\}\\ 2_\mathbb{N}&=\{\{\},\{\{\}\}\}\\ 3_\mathbb{N}&=\{\{\},\{\{\}\},\{\{\},\{\{\}\}\}\}\\ 4_\mathbb{N}&=\{\{\},\{\{\}\},\{\{\},\{\{\}\}\}, \{\{\},\{\{\}\},\{\{\},\{\{\}\}\}\}\}\\ &\ \vdots \end{align}
Well, ZF allow us to build this type of sets that are kind of arrangements of brackets and commas. We can follow with $\mathbb{Z}$ since we can define $(a,b)=\{\{a\},\{a,b\}\}$:
$\mathbb{Z}$ is defined as the set of equivalence classes $\mathbb{Z}=(\mathbb{N}\times\mathbb{N})\big/\sim$ where
$$\sim\, =\{\big((m,n),(h,k)\big)\in(\mathbb{N}\times\mathbb{N})\times (\mathbb{N}\times\mathbb{N}):(m+_\mathbb{N} k)= (h+_\mathbb{N} n)\}$$
here, the integers are sets more complicated than natural numbers. For example,
\begin{align} -2_\mathbb{Z}&=\{(1_\mathbb{N},3_\mathbb{N}),(2_\mathbb{N},4_\mathbb{N}),(3_\mathbb{N},5_\mathbb{N}),\ldots,(n_\mathbb{N},(n+2)_\mathbb{N}),\ldots\}\\ &=\{\{\{1_\mathbb{N}\},\{1_\mathbb{N},3_\mathbb{N}\}\},\{\{2_\mathbb{N}\},\{2_\mathbb{N},4_\mathbb{N}\}\},\ldots\}\\ -2_\mathbb{Z}&=\{\{\{\{\{\}\}\},\{\{\{\}\},\{\{\},\{\{\}\},\{\{\},\{\{\}\}\}\}\}\},\\ &\quad\{\{\{\{\},\{\{\}\}\}\},\{\{\{\},\{\{\}\}\},\{\{\},\{\{\}\},\{\{\},\{\{\}\}\}, \{\{\},\{\{\}\},\{\{\},\{\{\}\}\}\}\}\}\},\ldots\}\\ \end{align}
Here we note the importance of notations. We continue with $\mathbb{Q}=(\mathbb{Z}\times(\mathbb{Z\setminus\{0_\mathbb{Z}\})}\})\big/\sim$ where
$$\sim\, =\{\big((m,n),(h,k)\big)\in(\mathbb{Z}\times(\mathbb{Z\setminus\{0_\mathbb{Z}\})}\})\times (\mathbb{Z}\times(\mathbb{Z\setminus\{0_\mathbb{Z}\})}\}):m\odot_\mathbb{Z}k=h\odot_\mathbb{Z}n\}$$
And for example:
$$(0.2)_\mathbb{Q}=\{(1_\mathbb{Z},5_\mathbb{Z}),(2_\mathbb{Z},10_\mathbb{Z}),(3_\mathbb{Z},15_\mathbb{Z}),\ldots,(n_\mathbb{Z},(5n)_\mathbb{Z}),\ldots\}$$
Imagine if we write the integer numbers as before and write the ordered pairs in unabridged form ($(0.2)_\mathbb{Q}$ is a nice abbreviation for this monster). However we can.
Finally we define $\mathbb{R}$ as the set of all Dedekind cuts, for example:
$$(0.2)_\mathbb{R}=\{x\in\mathbb{Q}:x<_\mathbb{Q} (0.2)_\mathbb{Q}\}$$
Note that $(0.2)_\mathbb{R}$ is even more monstrous than $(0.2)_\mathbb{Q}$. Also I can write $(\sqrt{2})_\mathbb{R}$ showing its elements in a simple form,
$$(\sqrt{2})_\mathbb{R}=\{x\in\mathbb{Q}:(x^2<_\mathbb{Q} 2_\mathbb{Q}) \lor (x<_\mathbb{Q} 0_\mathbb{Q})\}$$
But I don't know how to do it with $\pi_\mathbb{R}$, since
$$\pi=\lim_{k\to\infty}\sum_{n=0}^{k}\cfrac{2^{n+1} n!^2}{(2n + 1)!}$$
I only know that
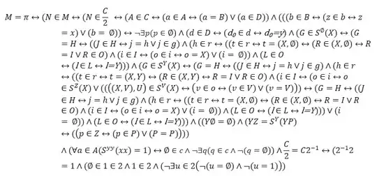
$$(\pi)_\mathbb{R}=\bigcup_{k=1}^{\infty} \left(\sum_{n=0}^{k}\cfrac{2^{n+1} n!^2}{(2n + 1)!}\right)_\mathbb{R}$$
Since monotonically converge to $\pi$ we have
$$(\pi)_\mathbb{R}=\bigcup_{k=1}^{\infty} \left\{x\in\mathbb{Q}:x<_\mathbb{Q} \left(\sum_{n=0}^{k}\cfrac{2^{n+1} n!^2}{(2n + 1)!}\right)_\mathbb{Q}\right\}$$
Is there any way to avoid infinite union (and the choice of a particular convergent sequence ) as the case of $(\sqrt{2})_\mathbb{R}$? If not, why?
Can we write the set representing $\pi$ listing its elements as we do with integers or rationals (as $\mathbb{Q}$ is countable I guess that should be able to do, but I don't know how to do)?
If in ZF all is a set, is so surprising the fact that so many things can be defined, then my last question is
How many more things can be built using ZF?, ZF could define us what is a derivative, an integral, a limit or a measure?
Thanks in advance.
