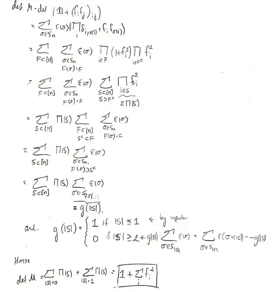
I thought of the following little problem.
Given numbers $f_1,\dots f_n$, what is the determinant of the symmetric matrix $I_n+(f_if_j)_{i,j}$?
I have found a cute combinatorial-style proof that it is $1+\Sigma_i f_i^2$. using the sum over permutations formula for the determinant. Here $F(\sigma)$ denotes the set of fixed points of $\sigma$.
