I have a problem that has kept me awake for several nights XD
If I integrate this (where $K$ and $S$ are constants;$K$ is small and $S$ can take values between 0 and 1): $$\int_{0}^{\pi}\frac{1}{\sin^2t}\left[\left(12\cos^2t+K^2\sin^2t\right)^{\frac{S+3}{2}}-\left(12\cos^2t\right)^{\frac{S+3}{2}}\right]\mathrm{d}t$$ by parts, I get this: $$=\left[ \left(\left(12\cos^2t+K^2\sin^2t\right)^{\frac{S+3}{2}}-\left(12\cos^2t\right)^{\frac{S+3}{2}}\right)(-\cot t)\right]^\pi_0-\int_{0}^{\pi}[...]$$ My question is: does the term $$\left[ \left(\left(12\cos^2t+K^2\sin^2t\right)^{\frac{S+3}{2}}-\left(12\cos^2t\right)^{\frac{S+3}{2}}\right)(-\cot t)\right]^\pi_0$$ vanish when the limits of integration are applied? Someone$^*$ says yes, but why?
Thanks in advance!
Victor
$^*$ here is a statement about it from a French-speaking mathematician:
It reads (more or less)
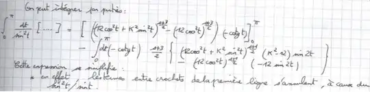
One can integrate by parts $$\int\frac{dt}{\sin^2t}[\cdots]=$$ This expression simplifies.
- Indeed, the terms in brackets in the first line cancel, due to $\sin^2t/\sin t$.
Edit: Can be used L'Hospital's rule to check that?
