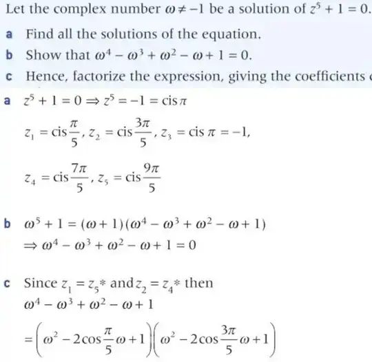
Answer: I'm really not sure how to factorise. I understand that z.z* gives 2Re(z) but it's still not clear to me how it works.
Asked
Active
Viewed 51 times
0
-
For part of your question: Recall the Factor Theorem from precalculus (school mathematics) -- If $r$ is a zero of the polynomial $P(x),$ then $x-r$ is a factor of $P(x).$ Note that $x = -1$ is a zero of the polynomial $x^5 + 1.$ Now use high school algebra to find the quotient when $x^5 + 1$ is divided by $x-r = x - (-1) = x+1.$ Also, see the question The roots of $t^5+1$. – Dave L. Renfro Mar 14 '21 at 12:26
-
Please use MathJax to write mathematics here. It is given when you signed up. Wat does z* mean? Does it mean $;\overline z=$ the complex coonjugate of $;z;$ ? Because if it does then what you wrote is false. – DonAntonio Mar 14 '21 at 12:27
1 Answers
0
Hint:
$$\dfrac{w^5+1}{w+1}=?$$
For $c,$ use Quadratic substitution question: applying substitution $p=x+\frac1x$ to $2x^4+x^3-6x^2+x+2=0$
lab bhattacharjee
- 274,582
