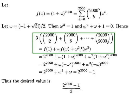
There is a problem in the book 101 Problems in Algebra which is:
Evaluate this $$C_{2}^{2000}+C_{5}^{2000}+C_{8}^{2000}+\cdots+C_{2000}^{2000}$$
I cannot understand the solution (shown below) to this problem. How can the statement is equal to the next line in the green marked box? Can anyone make me understand?
