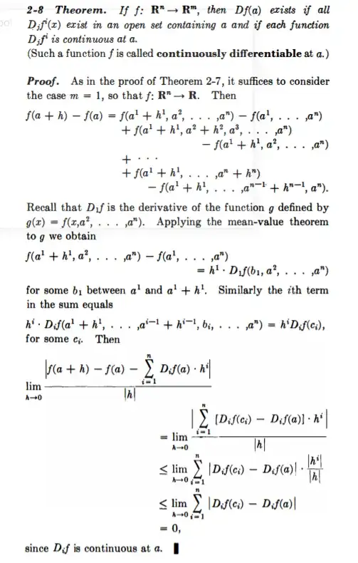
This is from Spivak's Calculus on Manifold and I have some questions about the assumptions and implications of this proof:

I noticed one of the assumptions regarding the partial derivatives is that they exist not just at the point a, but also in an open set containing a. What if the partial derivatives only exist at the point a (and is also continuous at the point a) but nowhere else? Is there a counterexample showing that f is no longer differentiable with this change in assumption?
This proof does not seem to care whether we are using the standard basis vectors or not for our partials. If we choose non orthonormal basis, would this proof still be valid? So for example in $\mathbb{R}^2$. if we choose $\{(1,1),(1,0)\}$ as our basis and coordinate axis and proved the partial derivative with this basis is continuously differentiable, does the conclusion still hold?
If what I said above is correct, then is there an alternative proof to this using directional derivatives? Say we are given the standard basis (in $\mathbb{R}^2$, but instead, we choose two linearly independent vectors and proved that the function defined in those directions are continuously differentiable at the point a, does that still allow us to conclude the function is differentiable at the point a?